🇳🇴 🇬🇧 🇩🇪 🇨🇿 🇫🇮

Meteor Storslettin yllä 2023-03-07 21:19:33 UTC

KML-tiedosto  |  Interaktiivinen kartta

Kartta näyttää meteorin suuntahavainnot. Vaaleammat viivat näyttävät suunnat havaintoasemilta meteorin ilmestyessä, ja tummemmat viivat näyttävät, missä se viimeksi nähtiin. Sininen nuoli näyttää meteorin näkyvän lennon.

static map
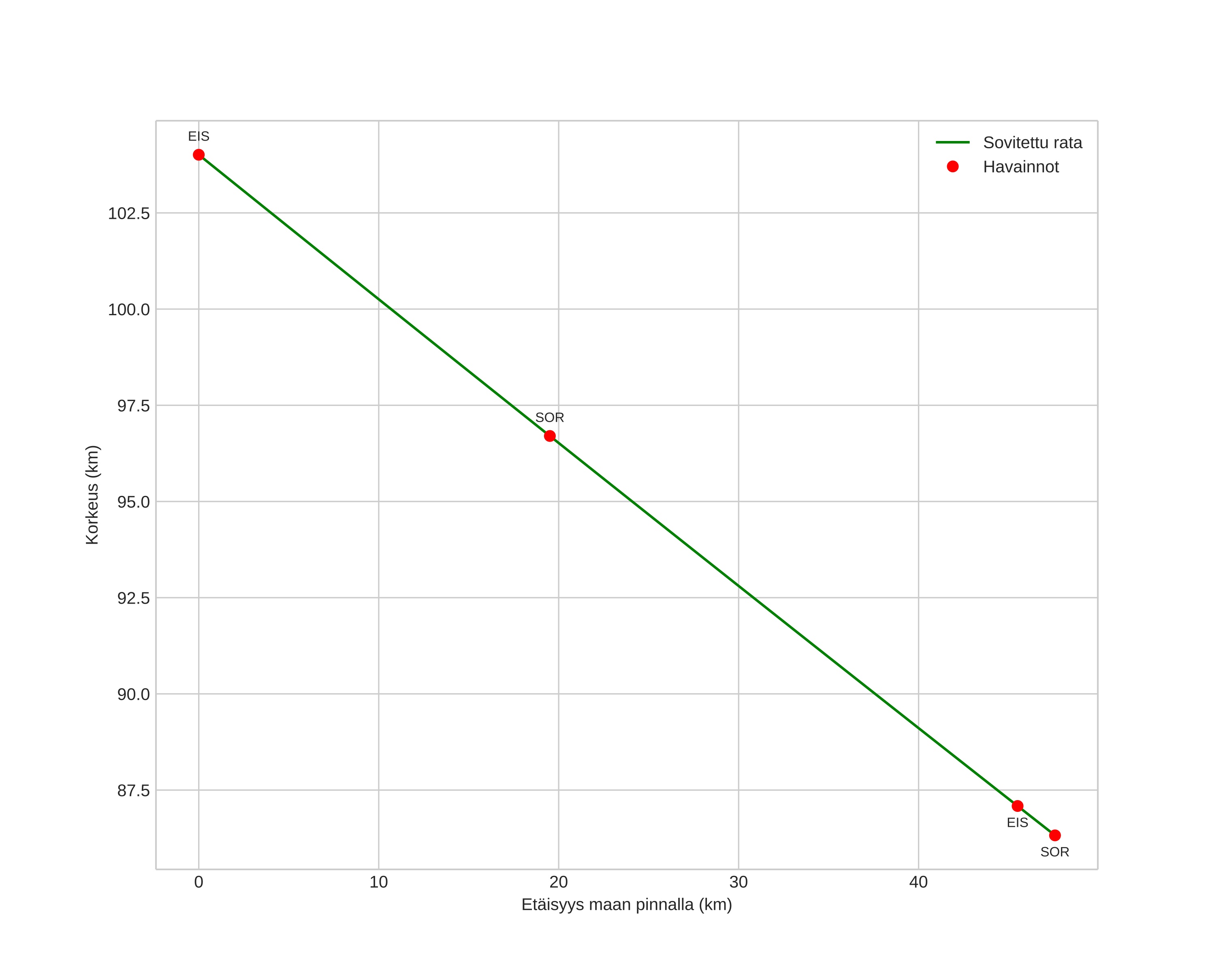
height profile
Meteorin ilmakehärata:
Alkukorkeus: 94,7 km
Loppukorkeus: 81,7 km
Alkupiste: 68,856N 21,686E
Loppupiste: 69,120N 21,239E
Suunta: 328,9°
Kallistuskulma: 20,7°
Tulonopeus: 31,9 km/s
Radiantin R,A,: 11:42 (175,6°)
Radiantin Dekl,: -0,0°
Meteoriparvi: Sporadinen
Meteoroidin rataelementit:
Perihelietäisyys: 0,378 AU
Eksentrisyys: 0,867
Inklinaatio: 2,1°
Nousevan solmun pituus: 166,7°
Perihelin argumentti: 109,4°
Keskianomalia: 351,5°
Epookki: 2023 MAR 07 21:19:33
orbit plot

Ei-interaktiivinen kuvaaja | Interaktiivinen kuvaaja

position vs time
speed and acceleration