🇳🇴 🇬🇧 🇩🇪 🇨🇿 🇫🇮

Meteor, poloha: Skjærhalden 2023-03-08 02:23:42 UTC

Soubor KML  |  InteraktivnĂ­ mapa

Mapa zobrazuje dráhy meteoru. Světlejší čáry ukazují směry od pozorovacích stanic při objevení se meteoru a tmavší čáry, kde byl naposledy viděn. Modrá šipka značí viditelnou dráhu meteoru.

static map
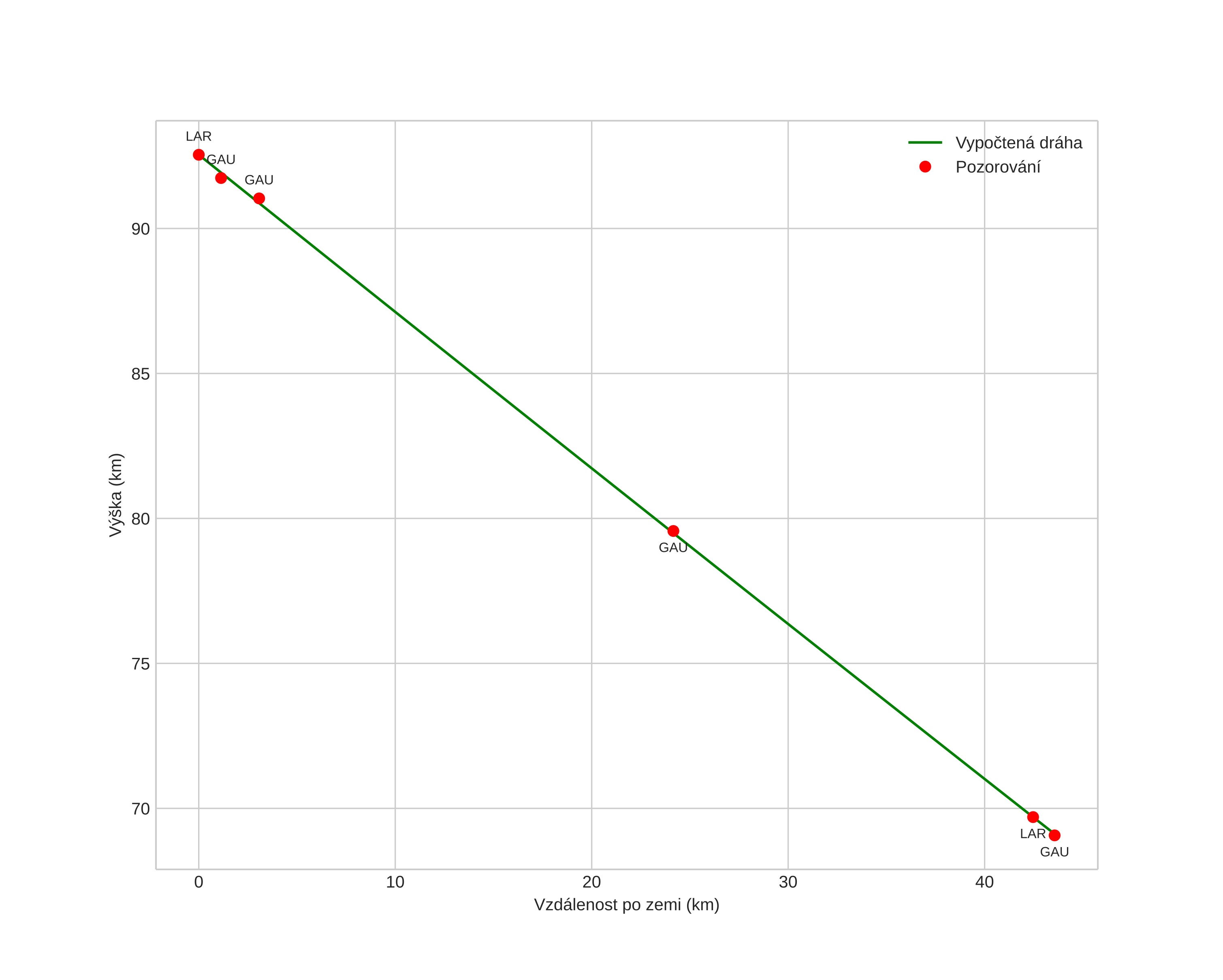
height profile
Atmosférická dráha meteoru:
Počáteční výška: 92,8 km
Konečná výška: 69,2 km
Počáteční poloha: 59,079N 11,003E
Konečná poloha: 58,710N 10,722E
Směr: 201,6°
Sklon: 28,1°
VstupnĂ­ rychlost: 18,4 km/s
Rektascenze radiantu: 00:07 (1,9°)
Deklinace radiantu: 48,4°
MeteorickĂ˝ roj: sporadickĂ˝
Elementy dráhy meteoroidu:
Vzdálenost v periheliu: 0,932 AU
Excentricita: 0,717
Sklon dráhy: 15,0°
Délka vzestupného uzlu: 346,9°
Argument perihelia: 148,7°
Střední anomálie: 3,8°
Epocha: 2023 MAR 08 02:23:42
orbit plot

NeinteraktivnĂ­ graf | InteraktivnĂ­ graf

position vs time
speed and acceleration