🇳🇴 🇬🇧 🇩🇪 🇨🇿 🇫🇮

Meteor, poloha: Tvedestrand 2023-03-09 01:31:21 UTC

Soubor KML  |  InteraktivnĂ­ mapa

Mapa zobrazuje dráhy meteoru. Světlejší čáry ukazují směry od pozorovacích stanic při objevení se meteoru a tmavší čáry, kde byl naposledy viděn. Modrá šipka značí viditelnou dráhu meteoru.

static map
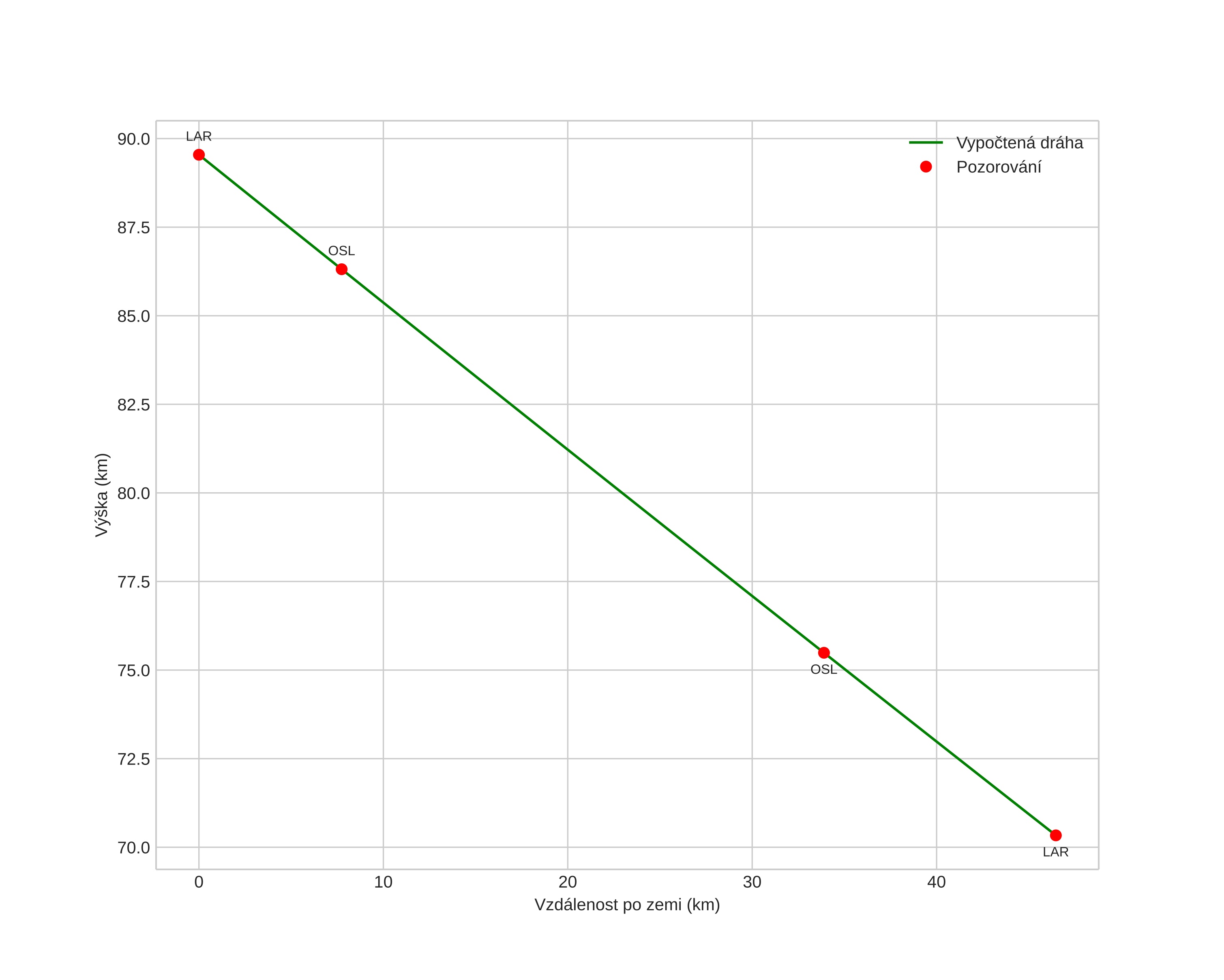
height profile
Atmosférická dráha meteoru:
Počáteční výška: 85,3 km
Konečná výška: 67,8 km
Počáteční poloha: 57,940N 8,972E
Konečná poloha: 58,324N 9,094E
Směr: 9,5°
Sklon: 22,0°
VstupnĂ­ rychlost: 35,1 km/s
Rektascenze radiantu: 12:33 (188,4°)
Deklinace radiantu: -11,5°
MeteorickĂ˝ roj: sporadickĂ˝
Elementy dráhy meteoroidu:
Vzdálenost v periheliu: 0,169 AU
Excentricita: 0,882
Sklon dráhy: 14,5°
Délka vzestupného uzlu: 167,9°
Argument perihelia: 140,5°
Střední anomálie: 337,5°
Epocha: 2023 MAR 09 01:31:21
orbit plot

NeinteraktivnĂ­ graf | InteraktivnĂ­ graf

position vs time
speed and acceleration