🇳🇴 🇬🇧 🇩🇪 🇨🇿 🇫🇮

Meteor, poloha: Arendal 2023-03-09 01:31:22 UTC

Soubor KML  |  InteraktivnĂ­ mapa

Mapa zobrazuje dráhy meteoru. Světlejší čáry ukazují směry od pozorovacích stanic při objevení se meteoru a tmavší čáry, kde byl naposledy viděn. Modrá šipka značí viditelnou dráhu meteoru.

static map
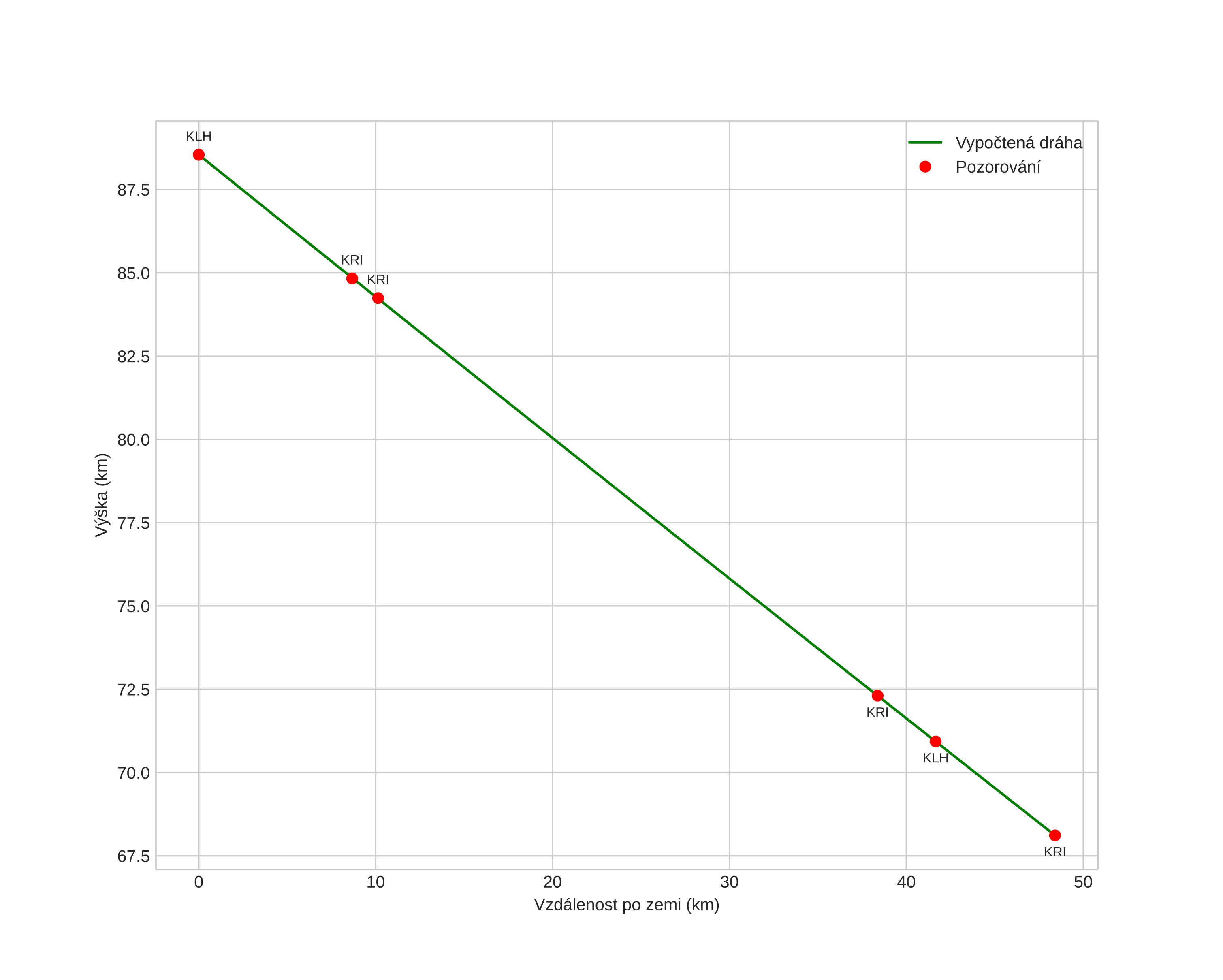
height profile
Atmosférická dráha meteoru:
Počáteční výška: 88,4 km
Konečná výška: 68,2 km
Počáteční poloha: 57,887N 8,926E
Konečná poloha: 58,317N 9,059E
Směr: 9,2°
Sklon: 22,6°
VstupnĂ­ rychlost: 35,1 km/s
Rektascenze radiantu: 12:34 (188,7°)
Deklinace radiantu: -11,0°
MeteorickĂ˝ roj: sporadickĂ˝
Elementy dráhy meteoroidu:
Vzdálenost v periheliu: 0,166 AU
Excentricita: 0,883
Sklon dráhy: 13,4°
Délka vzestupného uzlu: 167,9°
Argument perihelia: 140,9°
Střední anomálie: 337,5°
Epocha: 2023 MAR 09 01:31:22
orbit plot

NeinteraktivnĂ­ graf | InteraktivnĂ­ graf

position vs time
speed and acceleration