🇳🇴 🇬🇧 🇩🇪 🇨🇿 🇫🇮

Meteor, poloha: Egersund 2023-03-11 02:15:46 UTC

Soubor KML  |  InteraktivnĂ­ mapa

Mapa zobrazuje dráhy meteoru. Světlejší čáry ukazují směry od pozorovacích stanic při objevení se meteoru a tmavší čáry, kde byl naposledy viděn. Modrá šipka značí viditelnou dráhu meteoru.

static map
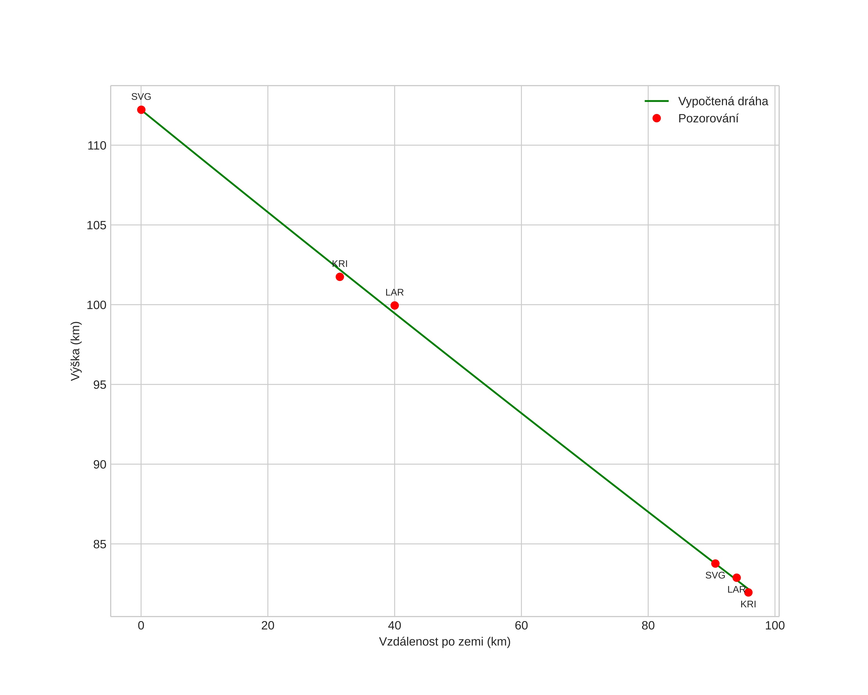
height profile
Atmosférická dráha meteoru:
Počáteční výška: 113,2 km
Konečná výška: 82,8 km
Počáteční poloha: 56,285N 6,659E
Konečná poloha: 56,672N 5,285E
Směr: 297,6°
Sklon: 17,8°
VstupnĂ­ rychlost: 67,8 km/s
Rektascenze radiantu: 17:45 (266,4°)
Deklinace radiantu: 0,0°
MeteorickĂ˝ roj: sporadickĂ˝
Elementy dráhy meteoroidu:
Vzdálenost v periheliu: 0,963 AU
Excentricita: 0,905
Sklon dráhy: 139,3°
Délka vzestupného uzlu: 349,9°
Argument perihelia: 159,3°
Střední anomálie: 0,4°
Epocha: 2023 MAR 11 02:15:46
orbit plot

NeinteraktivnĂ­ graf | InteraktivnĂ­ graf

position vs time
speed and acceleration