🇳🇴 🇬🇧 🇩🇪 🇨🇿 🇫🇮

Meteor, poloha: Hollum 2023-03-16 00:37:38 UTC

Soubor KML  |  InteraktivnĂ­ mapa

Mapa zobrazuje dráhy meteoru. Světlejší čáry ukazují směry od pozorovacích stanic při objevení se meteoru a tmavší čáry, kde byl naposledy viděn. Modrá šipka značí viditelnou dráhu meteoru.

static map
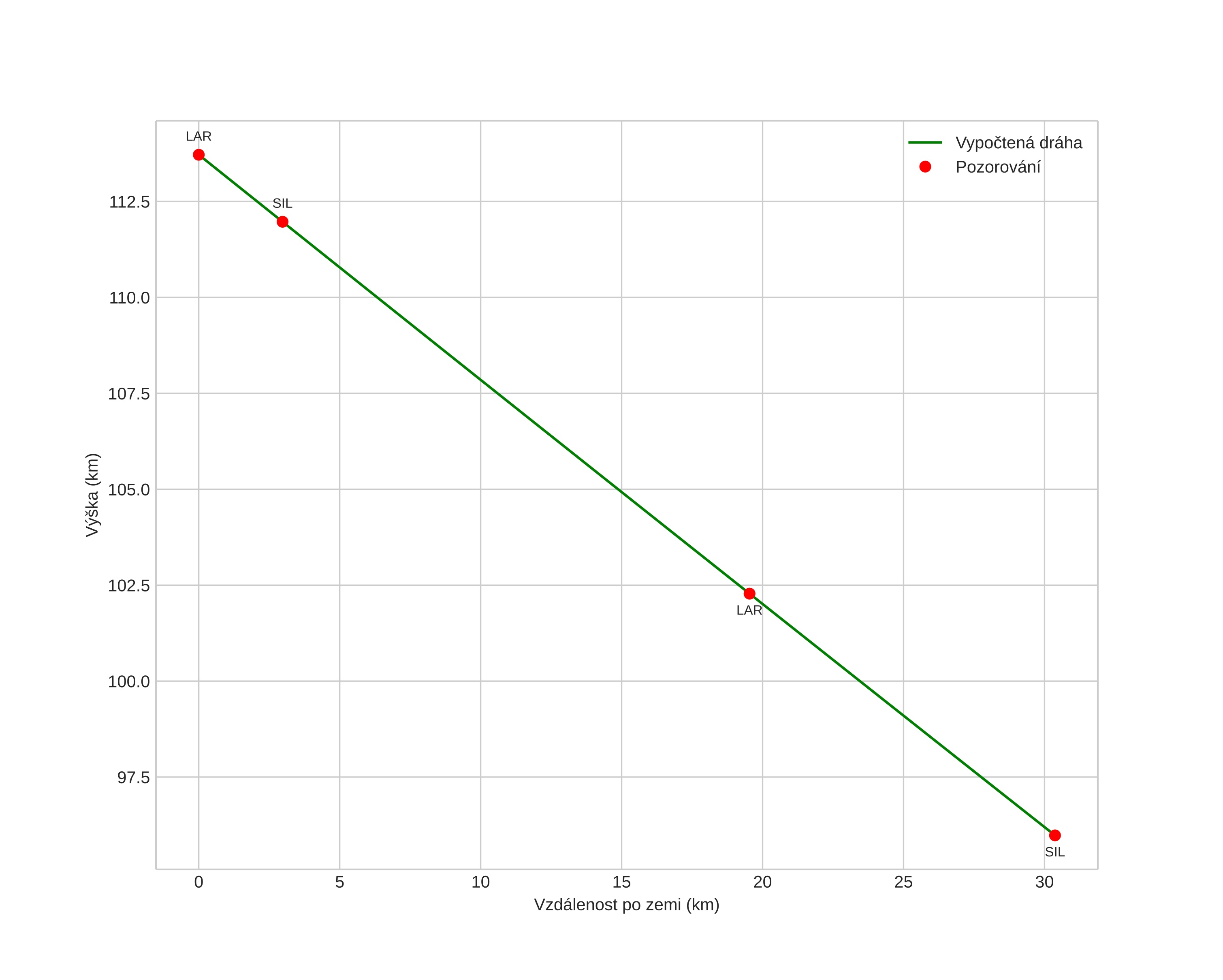
height profile
Atmosférická dráha meteoru:
Počáteční výška: 113,7 km
Konečná výška: 96,0 km
Počáteční poloha: 54,652N 6,058E
Konečná poloha: 54,733N 5,607E
Směr: 287,5°
Sklon: 30,2°
VstupnĂ­ rychlost: 59,0 km/s
Rektascenze radiantu: 16:28 (247,2°)
Deklinace radiantu: 14,6°
MeteorickĂ˝ roj: sporadickĂ˝
Elementy dráhy meteoroidu:
Vzdálenost v periheliu: 0,794 AU
Excentricita: 0,856
Sklon dráhy: 111,4°
Délka vzestupného uzlu: 354,8°
Argument perihelia: 235,7°
Střední anomálie: 357,4°
Epocha: 2023 MAR 16 00:37:38
orbit plot

NeinteraktivnĂ­ graf | InteraktivnĂ­ graf

position vs time
speed and acceleration