🇳🇴 🇬🇧 🇩🇪 🇨🇿 🇫🇮

Meteor, poloha: Ă…s 2023-03-16 01:56:44 UTC

Soubor KML  |  InteraktivnĂ­ mapa

Mapa zobrazuje dráhy meteoru. Světlejší čáry ukazují směry od pozorovacích stanic při objevení se meteoru a tmavší čáry, kde byl naposledy viděn. Modrá šipka značí viditelnou dráhu meteoru.

static map
height profile
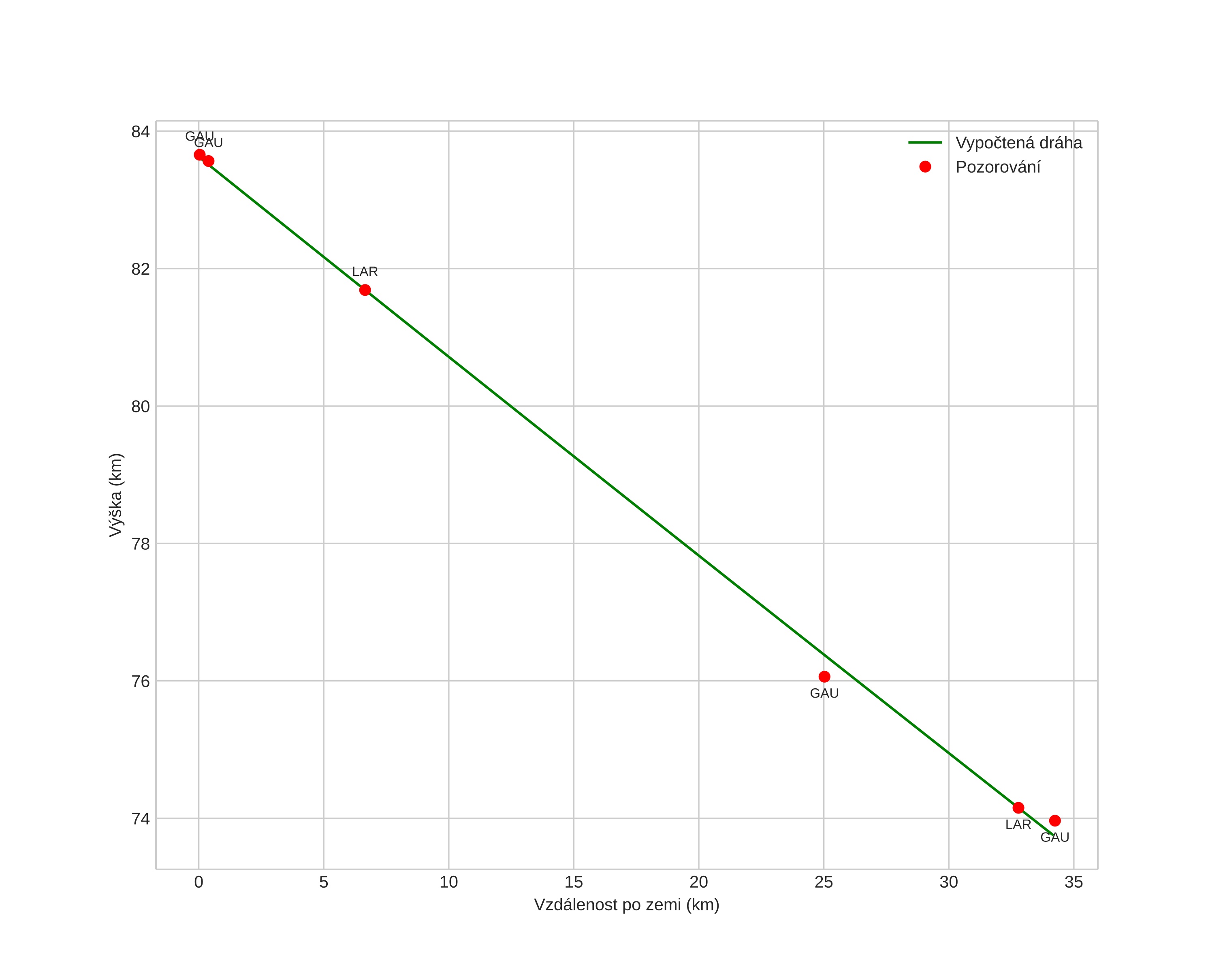
Atmosférická dráha meteoru:
Počáteční výška: 84,3 km
Konečná výška: 73,9 km
Počáteční poloha: 59,500N 10,212E
Konečná poloha: 59,670N 10,767E
Směr: 58,5°
Sklon: 15,9°
VstupnĂ­ rychlost: 20,2 km/s
Rektascenze radiantu: 10:14 (153,6°)
Deklinace radiantu: -7,9°
MeteorickĂ˝ roj: sporadickĂ˝
Elementy dráhy meteoroidu:
Vzdálenost v periheliu: 0,801 AU
Excentricita: 0,696
Sklon dráhy: 8,4°
Délka vzestupného uzlu: 174,9°
Argument perihelia: 58,2°
Střední anomálie: 351,3°
Epocha: 2023 MAR 16 01:56:44
orbit plot

NeinteraktivnĂ­ graf | InteraktivnĂ­ graf

position vs time
speed and acceleration