🇳🇴 🇬🇧 🇩🇪 🇨🇿 🇫🇮

Meteor, poloha: Narvik 2023-03-16 21:09:47 UTC

Eiscat – 1
Eiscat – 1
Eiscat – 5
Eiscat – 5
Sørreisa – 1
Sørreisa – 1

Soubor KML  | Interaktivní mapa

map

Mapa zobrazuje dráhy meteoru. Světlejší čáry ukazují směry od pozorovacích stanic při objevení se meteoru a tmavší čáry, kde byl naposledy viděn. Modrá šipka značí viditelnou dráhu meteoru.

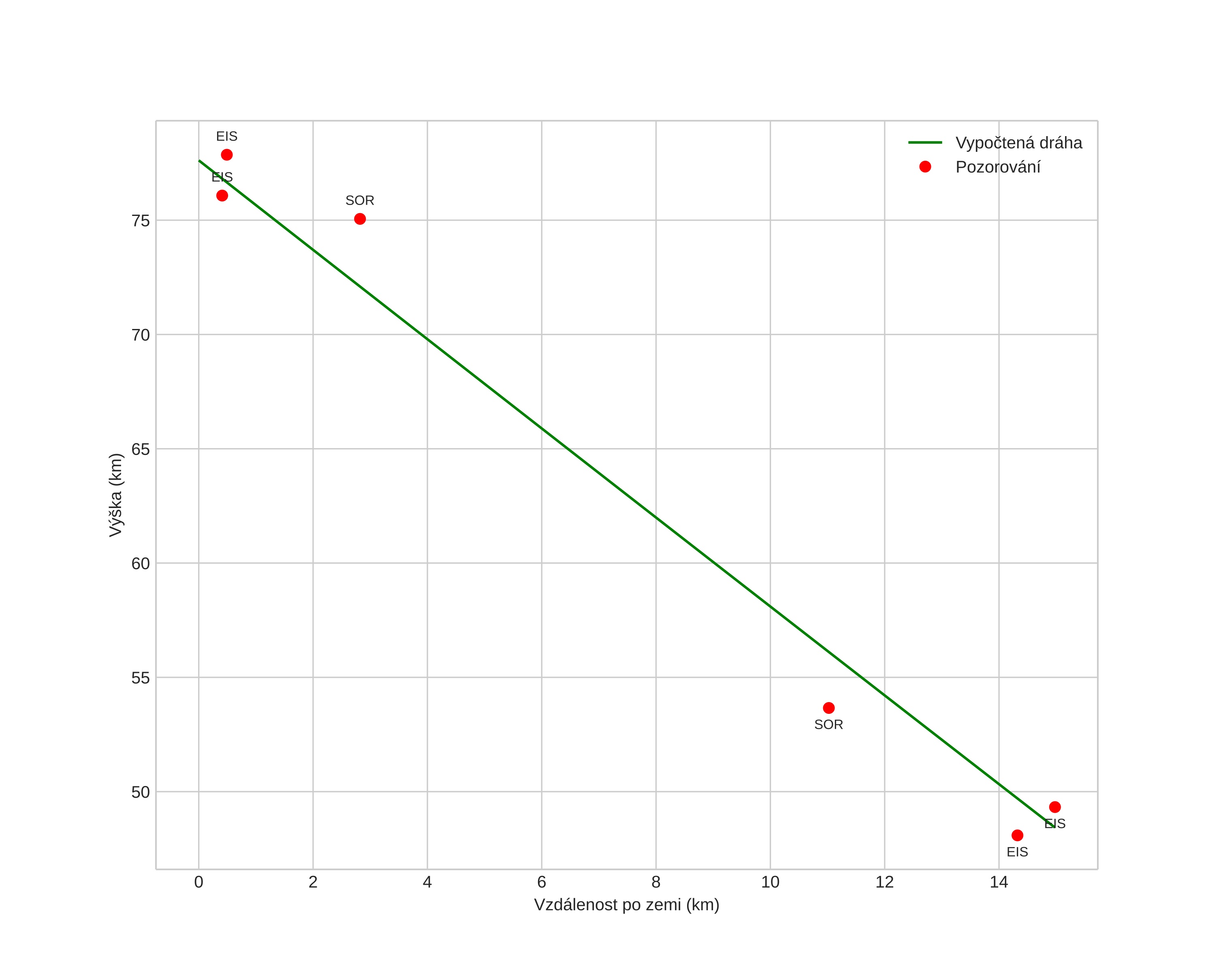
height profile
Atmosférická dráha meteoru:
Počáteční výška: 81,5 km
Konečná výška: 46,4 km
Počáteční poloha: 67,197N 18,511E
Konečná poloha: 67,454N 18,294E
Směr: 342,1°
Sklon: 49,4°
Vstupní rychlost: 17,1 km/s
Rektascenze radiantu: 10:51 (162,9°)
Deklinace radiantu: 21,8°
Meteorický roj: sporadický
Elementy dráhy meteoroidu:
Vzdálenost v periheliu: 0,852 AU
Excentricita: 0,547
Sklon dráhy: 5,0°
Délka vzestupného uzlu: 355,7°
Argument perihelia: 233,5°
Střední anomálie: 345,4°
Epocha: 2023 MAR 16 21:09:47
orbit

Neinteraktivní graf | Interaktivní graf

position vs time
speed & acceleration