🇳🇴 🇬🇧 🇩🇪 🇨🇿 🇫🇮

Meteor, poloha: KĂĄs 2023-03-20 23:29:11 UTC

Soubor KML  |  InteraktivnĂ­ mapa

Mapa zobrazuje dráhy meteoru. Světlejší čáry ukazují směry od pozorovacích stanic při objevení se meteoru a tmavší čáry, kde byl naposledy viděn. Modrá šipka značí viditelnou dráhu meteoru.

static map
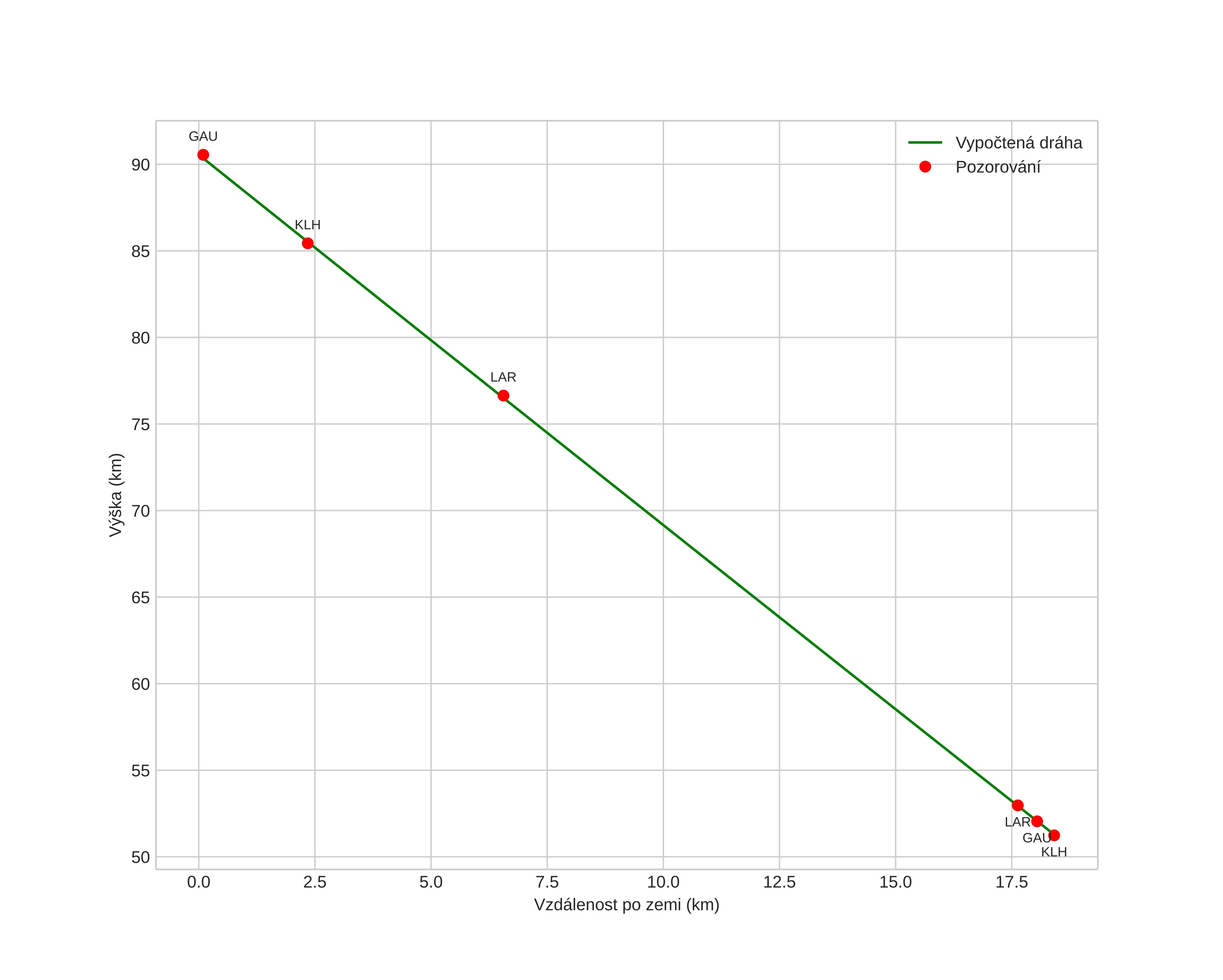
height profile
Atmosférická dráha meteoru:
Počáteční výška: 91,0 km
Konečná výška: 51,0 km
Počáteční poloha: 56,982N 9,709E
Konečná poloha: 57,145N 9,640E
Směr: 347,2°
Sklon: 65,0°
VstupnĂ­ rychlost: 23,0 km/s
Rektascenze radiantu: 12:22 (185,7°)
Deklinace radiantu: 30,7°
MeteorickĂ˝ roj: sporadickĂ˝
Elementy dráhy meteoroidu:
Vzdálenost v periheliu: 0,756 AU
Excentricita: 0,698
Sklon dráhy: 17,3°
Délka vzestupného uzlu: 359,8°
Argument perihelia: 245,5°
Střední anomálie: 349,8°
Epocha: 2023 MAR 20 23:29:11
orbit plot

NeinteraktivnĂ­ graf | InteraktivnĂ­ graf

position vs time
speed and acceleration