🇳🇴 🇬🇧 🇩🇪 🇨🇿 🇫🇮

Meteor, poloha: Hemsedal 2023-03-21 00:13:47 UTC

Soubor KML  |  InteraktivnĂ­ mapa

Mapa zobrazuje dráhy meteoru. Světlejší čáry ukazují směry od pozorovacích stanic při objevení se meteoru a tmavší čáry, kde byl naposledy viděn. Modrá šipka značí viditelnou dráhu meteoru.

static map
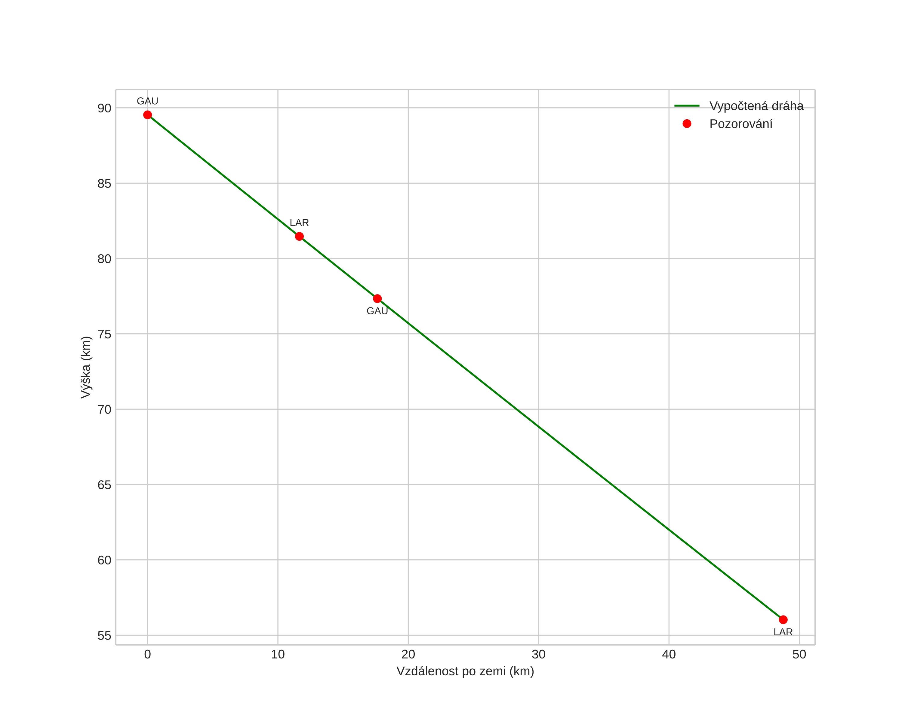
height profile
Atmosférická dráha meteoru:
Počáteční výška: 87,3 km
Konečná výška: 56,0 km
Počáteční poloha: 60,579N 8,432E
Konečná poloha: 60,982N 8,441E
Směr: 0,6°
Sklon: 34,9°
VstupnĂ­ rychlost: 32,3 km/s
Rektascenze radiantu: 12:35 (188,8°)
Deklinace radiantu: 3,7°
MeteorickĂ˝ roj: sporadickĂ˝
Elementy dráhy meteoroidu:
Vzdálenost v periheliu: 0,415 AU
Excentricita: 0,902
Sklon dráhy: 7,9°
Délka vzestupného uzlu: 359,8°
Argument perihelia: 283,3°
Střední anomálie: 355,4°
Epocha: 2023 MAR 21 00:13:47
orbit plot

NeinteraktivnĂ­ graf | InteraktivnĂ­ graf

position vs time
speed and acceleration