🇳🇴 🇬🇧 🇩🇪 🇨🇿 🇫🇮

Meteor, poloha: Bruflat 2023-03-21 00:50:33 UTC

Soubor KML  |  InteraktivnĂ­ mapa

Mapa zobrazuje dráhy meteoru. Světlejší čáry ukazují směry od pozorovacích stanic při objevení se meteoru a tmavší čáry, kde byl naposledy viděn. Modrá šipka značí viditelnou dráhu meteoru.

static map
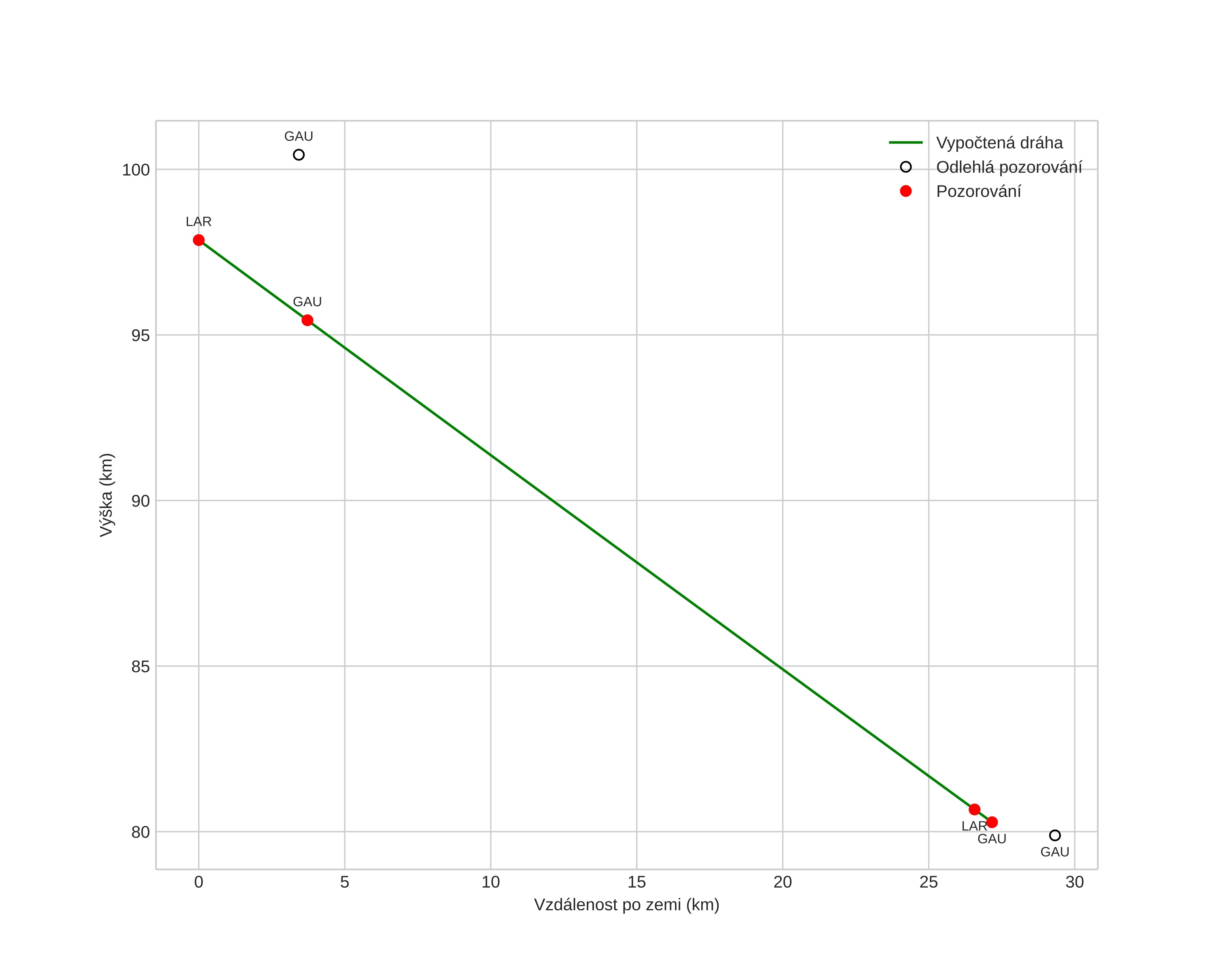
height profile
Atmosférická dráha meteoru:
Počáteční výška: 100,6 km
Konečná výška: 81,7 km
Počáteční poloha: 60,685N 9,724E
Konečná poloha: 60,962N 9,800E
Směr: 7,6°
Sklon: 31,4°
VstupnĂ­ rychlost: 33,9 km/s
Rektascenze radiantu: 12:53 (193,3°)
Deklinace radiantu: 0,5°
MeteorickĂ˝ roj: sporadickĂ˝
Elementy dráhy meteoroidu:
Vzdálenost v periheliu: 0,323 AU
Excentricita: 0,894
Sklon dráhy: 7,9°
Délka vzestupného uzlu: 359,8°
Argument perihelia: 295,5°
Střední anomálie: 352,6°
Epocha: 2023 MAR 21 00:50:33
orbit plot

NeinteraktivnĂ­ graf | InteraktivnĂ­ graf

position vs time
speed and acceleration