🇳🇴 🇬🇧 🇩🇪 🇨🇿 🇫🇮

Meteor Kirkenærin yllä 2023-03-21 02:13:07 UTC

KML-tiedosto  |  Interaktiivinen kartta

Kartta näyttää meteorin suuntahavainnot. Vaaleammat viivat näyttävät suunnat havaintoasemilta meteorin ilmestyessä, ja tummemmat viivat näyttävät, missä se viimeksi nähtiin. Sininen nuoli näyttää meteorin näkyvän lennon.

static map
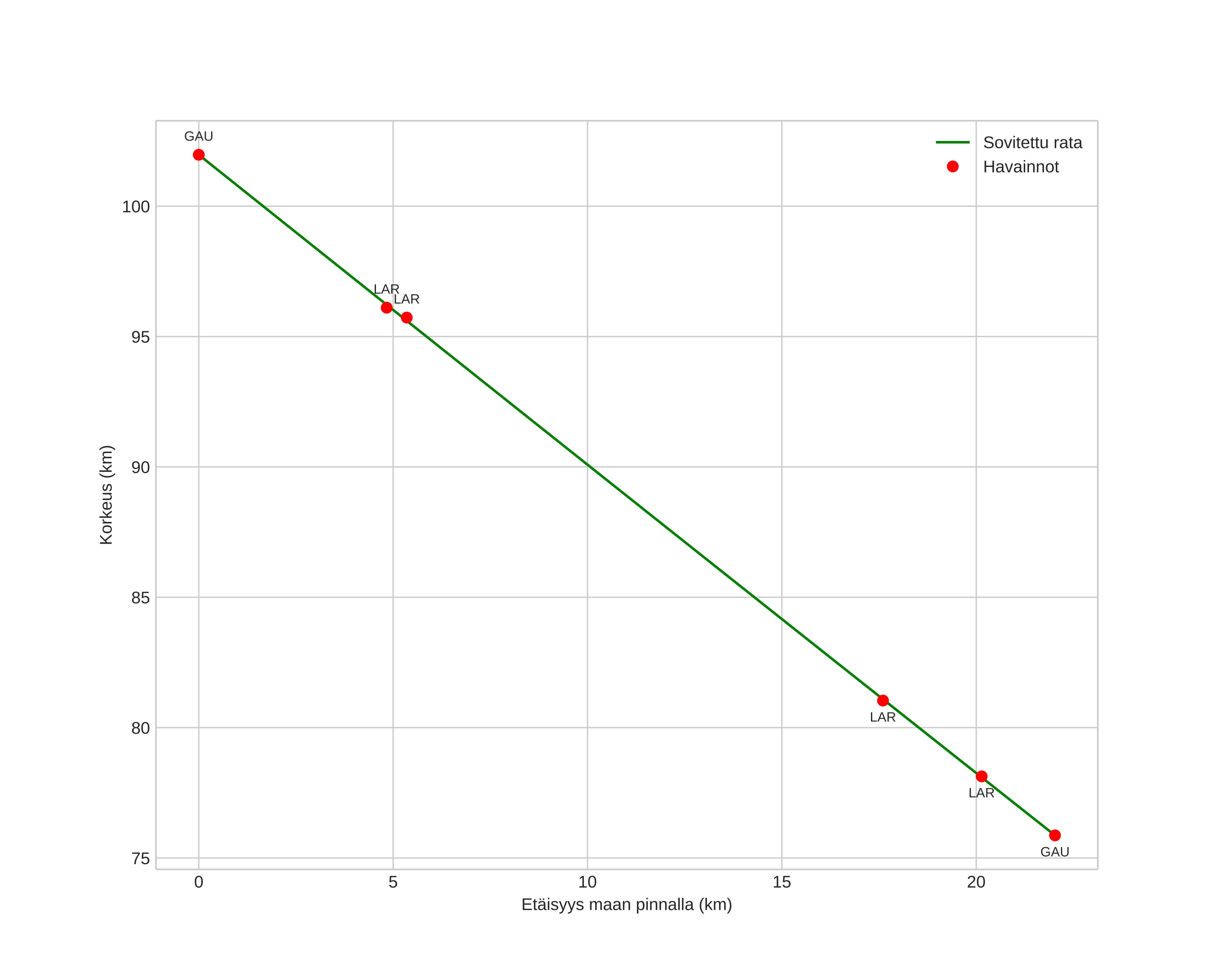
height profile
Meteorin ilmakehärata:
Alkukorkeus: 102,1 km
Loppukorkeus: 76,0 km
Alkupiste: 60,568N 12,589E
Loppupiste: 60,556N 12,184E
Suunta: 266,8°
Kallistuskulma: 49,6°
Tulonopeus: 47,7 km/s
Radiantin R,A,: 19:05 (286,3°)
Radiantin Dekl,: 42,5°
Meteoriparvi: Sporadinen
Meteoroidin rataelementit:
Perihelietäisyys: 0,950 AU
Eksentrisyys: 1,224
Inklinaatio: 73,5°
Nousevan solmun pituus: 359,9°
Perihelin argumentti: 156,3°
Keskianomalia: 1,7°
Epookki: 2023 MAR 21 02:13:07
orbit plot

Ei-interaktiivinen kuvaaja | Interaktiivinen kuvaaja

position vs time
speed and acceleration