🇳🇴 🇬🇧 🇩🇪 🇨🇿 🇫🇮

Meteor Øksfjordin yllä 2023-03-24 01:07:46 UTC

KML-tiedosto  |  Interaktiivinen kartta

Kartta näyttää meteorin suuntahavainnot. Vaaleammat viivat näyttävät suunnat havaintoasemilta meteorin ilmestyessä, ja tummemmat viivat näyttävät, missä se viimeksi nähtiin. Sininen nuoli näyttää meteorin näkyvän lennon.

static map
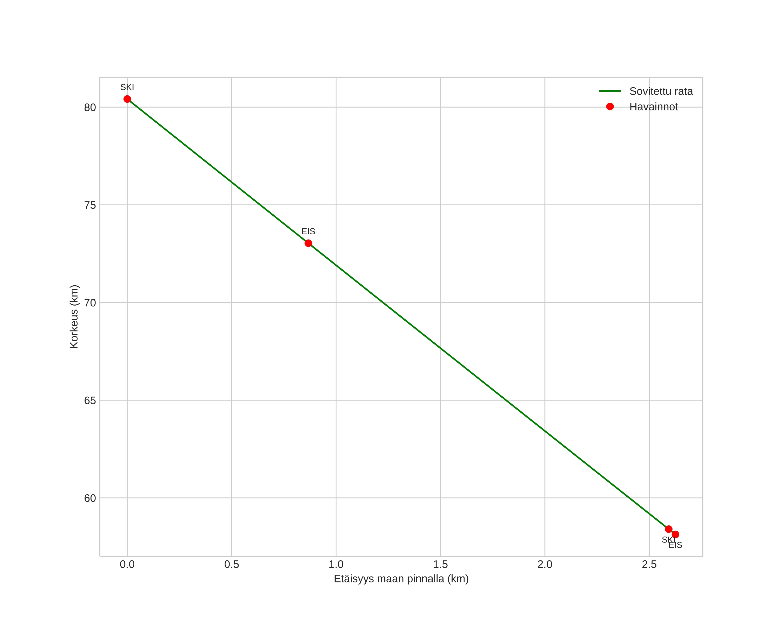
height profile
Meteorin ilmakehärata:
Alkukorkeus: 71,7 km
Loppukorkeus: 56,6 km
Alkupiste: 70,390N 22,393E
Loppupiste: 70,406N 22,389E
Suunta: 354,4°
Kallistuskulma: 83,2°
Tulonopeus: 20,3 km/s
Radiantin R,A,: 14:43 (220,9°)
Radiantin Dekl,: 63,0°
Meteoriparvi: Sporadinen
Meteoroidin rataelementit:
Perihelietäisyys: 0,962 AU
Eksentrisyys: 0,453
Inklinaatio: 26,7°
Nousevan solmun pituus: 2,8°
Perihelin argumentti: 207,4°
Keskianomalia: 350,6°
Epookki: 2023 MAR 24 01:07:46
orbit plot

Ei-interaktiivinen kuvaaja | Interaktiivinen kuvaaja

position vs time
speed and acceleration