🇳🇴 🇬🇧 🇩🇪 🇨🇿 🇫🇮

Meteor Sandin yllä 2023-03-27 23:45:35 UTC

KML-tiedosto  |  Interaktiivinen kartta

Kartta näyttää meteorin suuntahavainnot. Vaaleammat viivat näyttävät suunnat havaintoasemilta meteorin ilmestyessä, ja tummemmat viivat näyttävät, missä se viimeksi nähtiin. Sininen nuoli näyttää meteorin näkyvän lennon.

static map
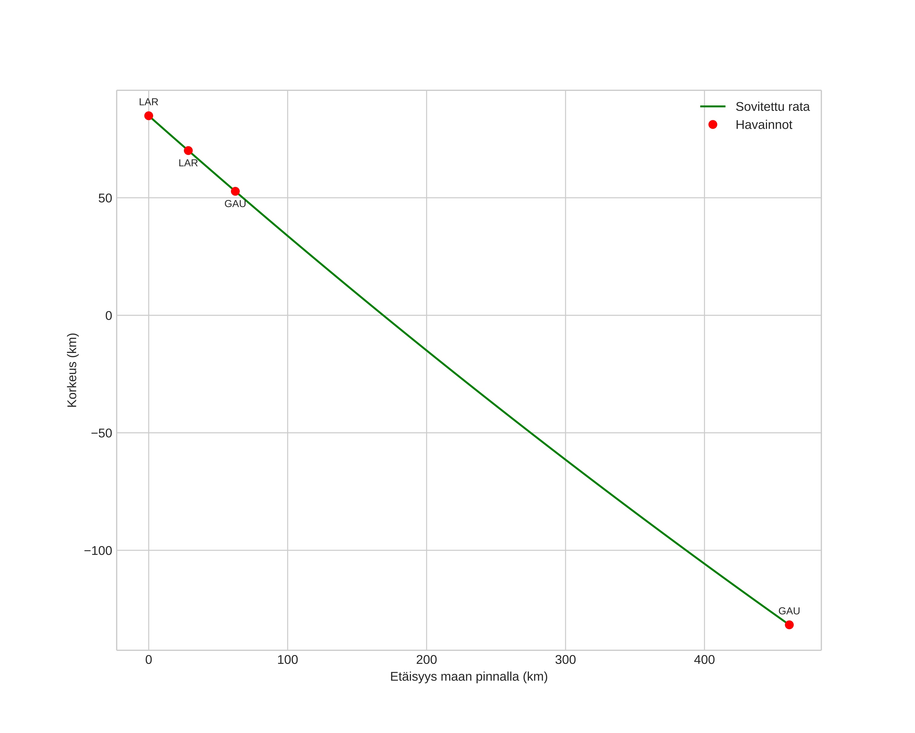
height profile
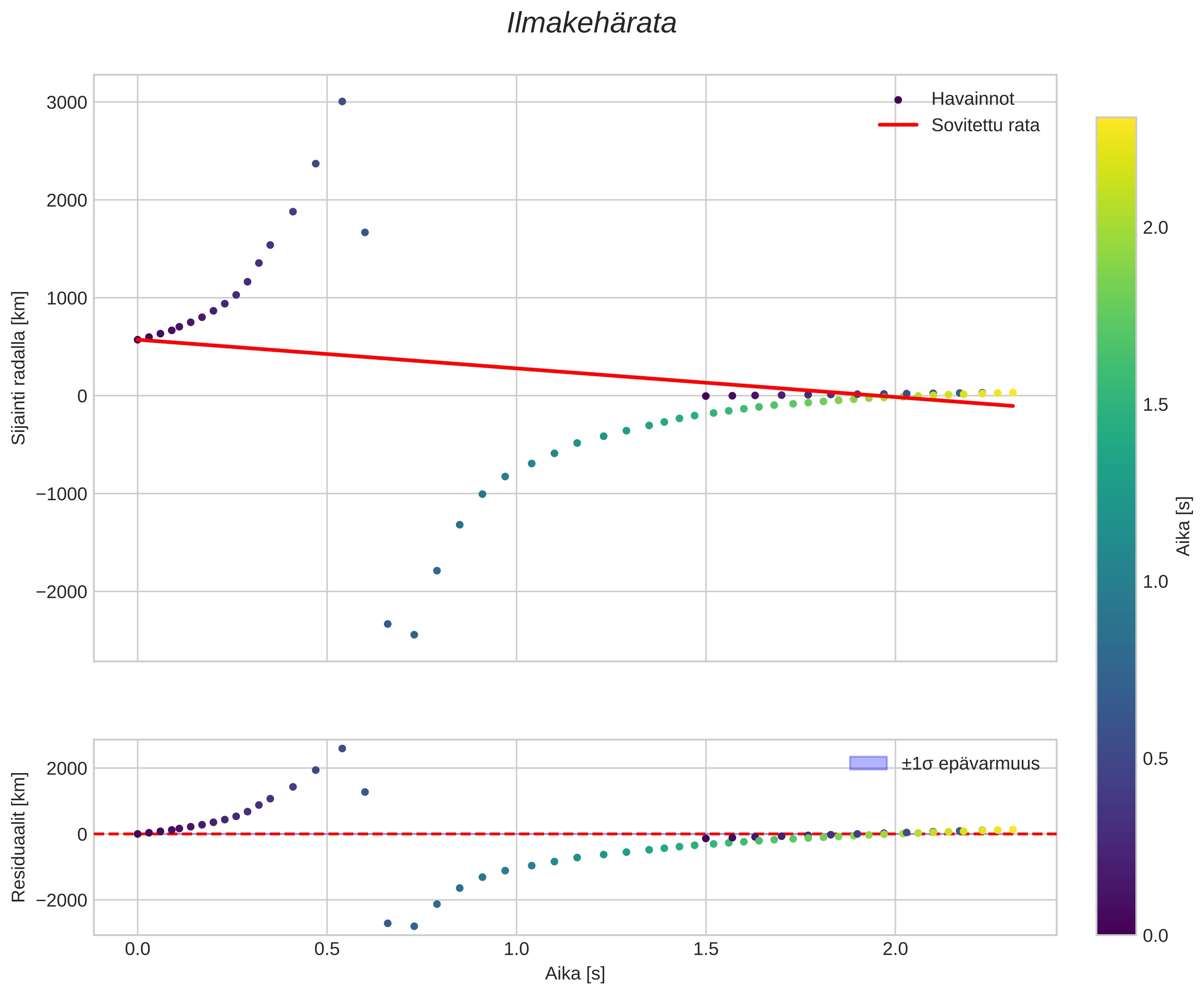
Meteorin ilmakehärata:
Alkukorkeus: 85,7 km
Loppukorkeus: 77,7 km
Alkupiste: 59,868N 5,103E
Loppupiste: 59,376N 6,198E
Suunta: 131,1°
Kallistuskulma: 5,5°
orbit plot

Ei-interaktiivinen kuvaaja | Interaktiivinen kuvaaja

position vs time
speed and acceleration