🇳🇴 🇬🇧 🇩🇪 🇨🇿 🇫🇮

Meteor, poloha: Kragerø 2023-04-01 20:59:46 UTC

Soubor KML  |  InteraktivnĂ­ mapa

Mapa zobrazuje dráhy meteoru. Světlejší čáry ukazují směry od pozorovacích stanic při objevení se meteoru a tmavší čáry, kde byl naposledy viděn. Modrá šipka značí viditelnou dráhu meteoru.

static map
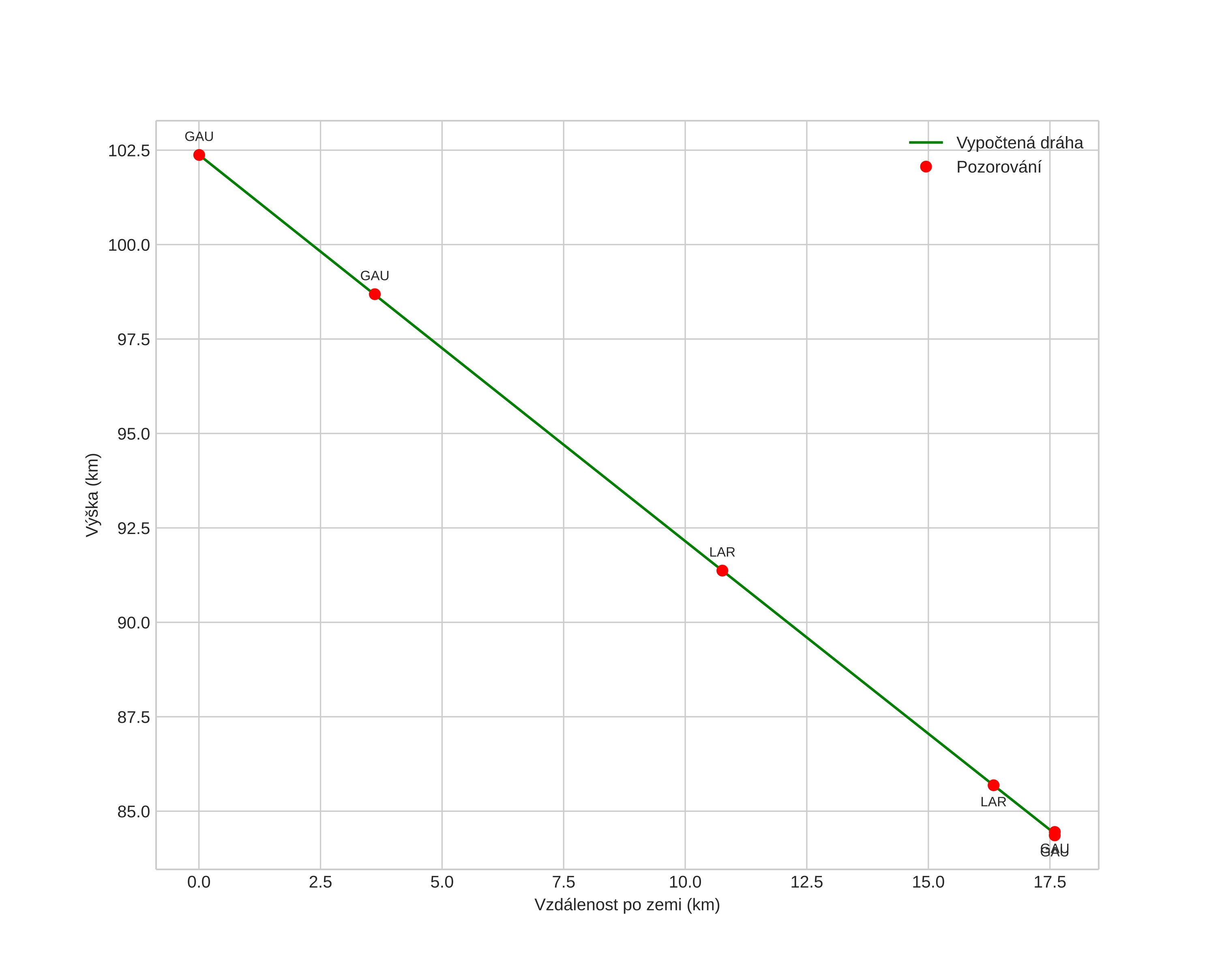
height profile
Atmosférická dráha meteoru:
Počáteční výška: 102,4 km
Konečná výška: 84,6 km
Počáteční poloha: 58,848N 9,659E
Konečná poloha: 58,914N 9,382E
Směr: 294,9°
Sklon: 45,5°
VstupnĂ­ rychlost: 31,2 km/s
Rektascenze radiantu: 13:21 (200,3°)
Deklinace radiantu: 26,1°
MeteorickĂ˝ roj: sporadickĂ˝
Elementy dráhy meteoroidu:
Vzdálenost v periheliu: 0,682 AU
Excentricita: 1,022
Sklon dráhy: 25,9°
Délka vzestupného uzlu: 11,6°
Argument perihelia: 248,1°
Střední anomálie: -0,2°
Epocha: 2023 APR 01 20:59:46
orbit plot

NeinteraktivnĂ­ graf | InteraktivnĂ­ graf

position vs time
speed and acceleration