🇳🇴 🇬🇧 🇩🇪 🇨🇿 🇫🇮

Meteor, poloha: Nykøbing Mors 2023-04-01 22:05:20 UTC

Soubor KML  |  InteraktivnĂ­ mapa

Mapa zobrazuje dráhy meteoru. Světlejší čáry ukazují směry od pozorovacích stanic při objevení se meteoru a tmavší čáry, kde byl naposledy viděn. Modrá šipka značí viditelnou dráhu meteoru.

static map
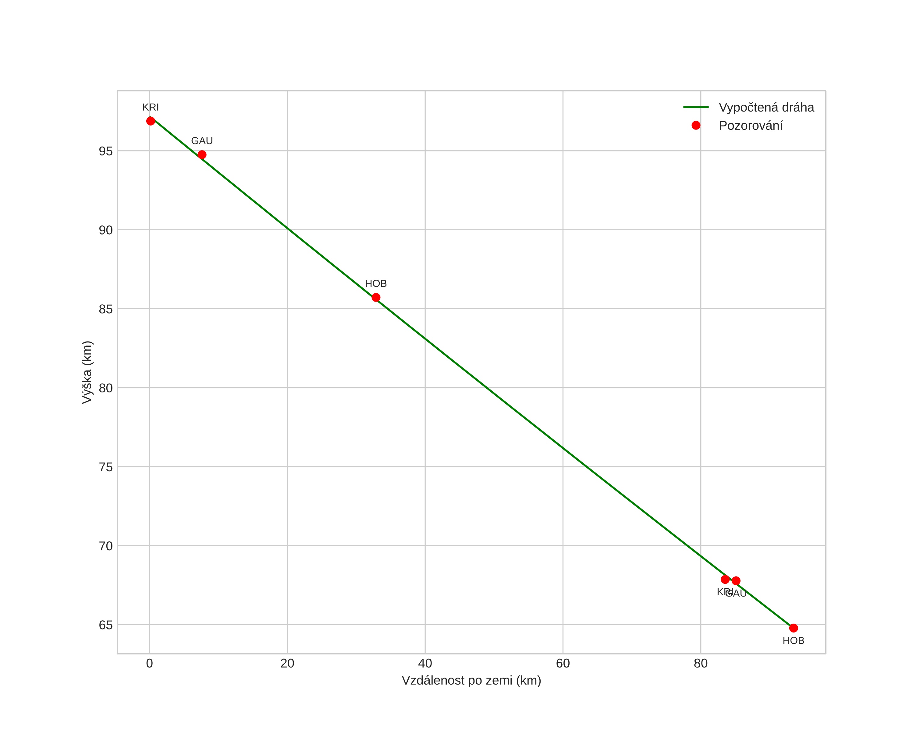
height profile
Atmosférická dráha meteoru:
Počáteční výška: 93,6 km
Konečná výška: 64,4 km
Počáteční poloha: 56,194N 9,742E
Konečná poloha: 56,815N 8,948E
Směr: 325,1°
Sklon: 19,1°
VstupnĂ­ rychlost: 37,8 km/s
Rektascenze radiantu: 13:36 (204,1°)
Deklinace radiantu: -10,9°
MeteorickĂ˝ roj: sporadickĂ˝
Elementy dráhy meteoroidu:
Vzdálenost v periheliu: 0,246 AU
Excentricita: 0,952
Sklon dráhy: 1,4°
Délka vzestupného uzlu: 191,6°
Argument perihelia: 123,1°
Střední anomálie: 356,9°
Epocha: 2023 APR 01 22:05:20
orbit plot

NeinteraktivnĂ­ graf | InteraktivnĂ­ graf

position vs time
speed and acceleration