🇳🇴 🇬🇧 🇩🇪 🇨🇿 🇫🇮

Meteor, poloha: Thyborøn 2023-04-02 00:31:50 UTC

Soubor KML  |  InteraktivnĂ­ mapa

Mapa zobrazuje dráhy meteoru. Světlejší čáry ukazují směry od pozorovacích stanic při objevení se meteoru a tmavší čáry, kde byl naposledy viděn. Modrá šipka značí viditelnou dráhu meteoru.

static map
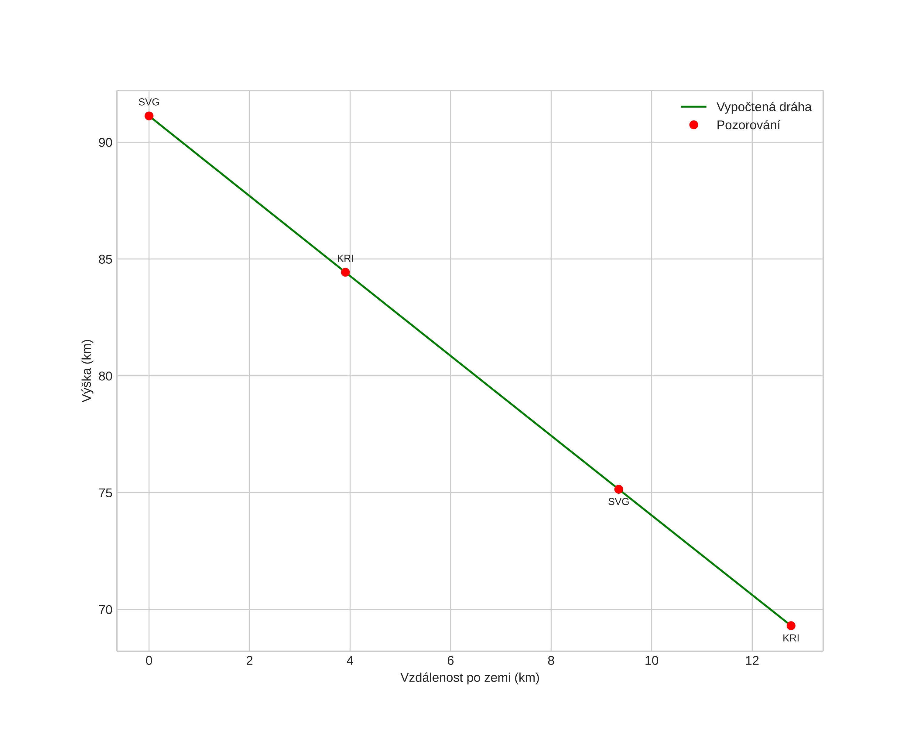
height profile
Atmosférická dráha meteoru:
Počáteční výška: 92,1 km
Konečná výška: 69,2 km
Počáteční poloha: 56,794N 7,684E
Konečná poloha: 56,895N 7,726E
Směr: 12,7°
Sklon: 63,4°
VstupnĂ­ rychlost: 24,0 km/s
Rektascenze radiantu: 13:11 (197,9°)
Deklinace radiantu: 28,9°
MeteorickĂ˝ roj: sporadickĂ˝
Elementy dráhy meteoroidu:
Vzdálenost v periheliu: 0,763 AU
Excentricita: 0,741
Sklon dráhy: 20,0°
Délka vzestupného uzlu: 11,7°
Argument perihelia: 243,7°
Střední anomálie: 352,3°
Epocha: 2023 APR 02 00:31:50
orbit plot

NeinteraktivnĂ­ graf | InteraktivnĂ­ graf

position vs time
speed and acceleration