🇳🇴 🇬🇧 🇩🇪 🇨🇿 🇫🇮

Meteor, poloha: Fossby 2023-04-02 01:36:16 UTC

Soubor KML  |  InteraktivnĂ­ mapa

Mapa zobrazuje dráhy meteoru. Světlejší čáry ukazují směry od pozorovacích stanic při objevení se meteoru a tmavší čáry, kde byl naposledy viděn. Modrá šipka značí viditelnou dráhu meteoru.

static map
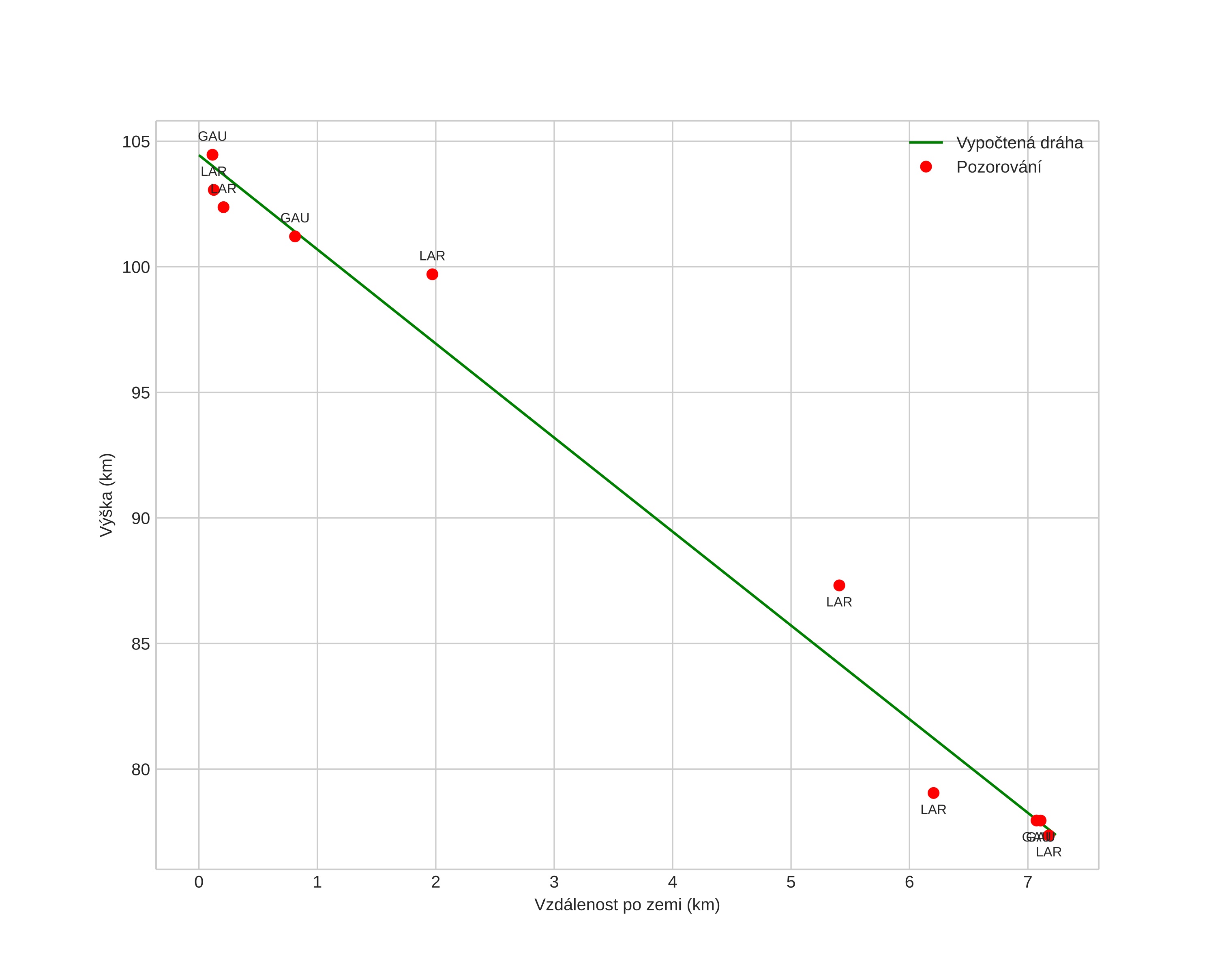
height profile
Atmosférická dráha meteoru:
Počáteční výška: 105,0 km
Konečná výška: 77,7 km
Počáteční poloha: 59,183N 11,862E
Konečná poloha: 59,231N 11,767E
Směr: 314,9°
Sklon: 74,3°
VstupnĂ­ rychlost: 38,5 km/s
Rektascenze radiantu: 16:07 (241,8°)
Deklinace radiantu: 46,5°
MeteorickĂ˝ roj: sporadickĂ˝
Elementy dráhy meteoroidu:
Vzdálenost v periheliu: 0,903 AU
Excentricita: 1,024
Sklon dráhy: 55,9°
Délka vzestupného uzlu: 11,7°
Argument perihelia: 216,0°
Střední anomálie: -0,1°
Epocha: 2023 APR 02 01:36:16
orbit plot

NeinteraktivnĂ­ graf | InteraktivnĂ­ graf

position vs time
speed and acceleration