🇳🇴 🇬🇧 🇩🇪 🇨🇿 🇫🇮

Meteor, poloha: Birkeland 2023-04-02 20:02:12 UTC

Soubor KML  |  InteraktivnĂ­ mapa

Mapa zobrazuje dráhy meteoru. Světlejší čáry ukazují směry od pozorovacích stanic při objevení se meteoru a tmavší čáry, kde byl naposledy viděn. Modrá šipka značí viditelnou dráhu meteoru.

static map
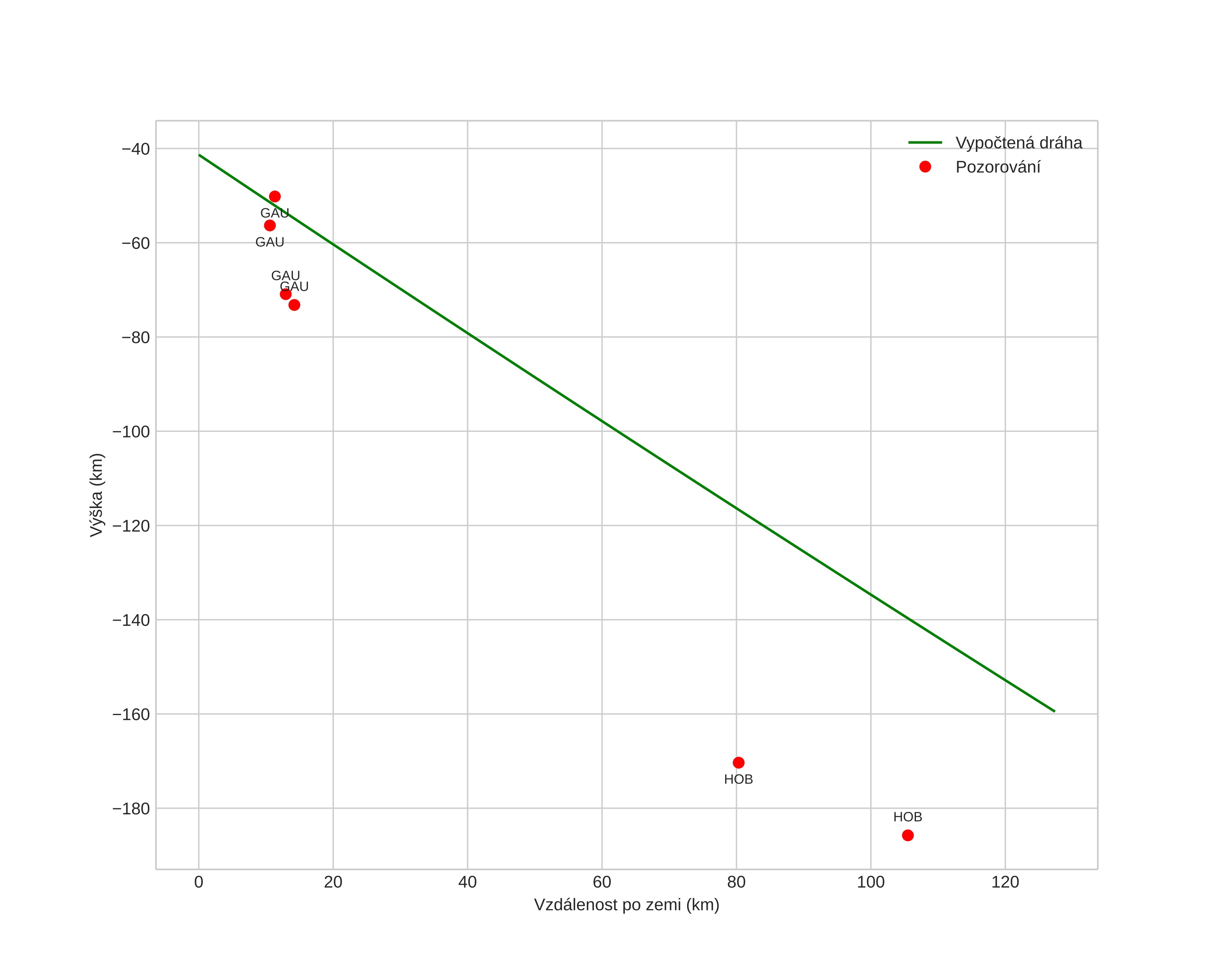
height profile
Atmosférická dráha meteoru:
Počáteční výška: -41,3 km
Konečná výška: -159,5 km
Počáteční poloha: 58,882N 10,200E
Konečná poloha: 58,489N 8,131E
Směr: 250,8°
Sklon: 42,9°
orbit plot
position vs time
speed and acceleration