Meteor, poloha: Skjærhalden 2023-04-02 22:26:15 UTC    
        
            
        Mapa zobrazuje dráhy meteoru. Světlejší čáry ukazují směry od pozorovacích stanic při objevení se meteoru a tmavší čáry, kde byl naposledy viděn. Modrá šipka značí viditelnou dráhu meteoru.
        
        Neinteraktivní mapa | Soubor KML
       
                  
           
    
        
      
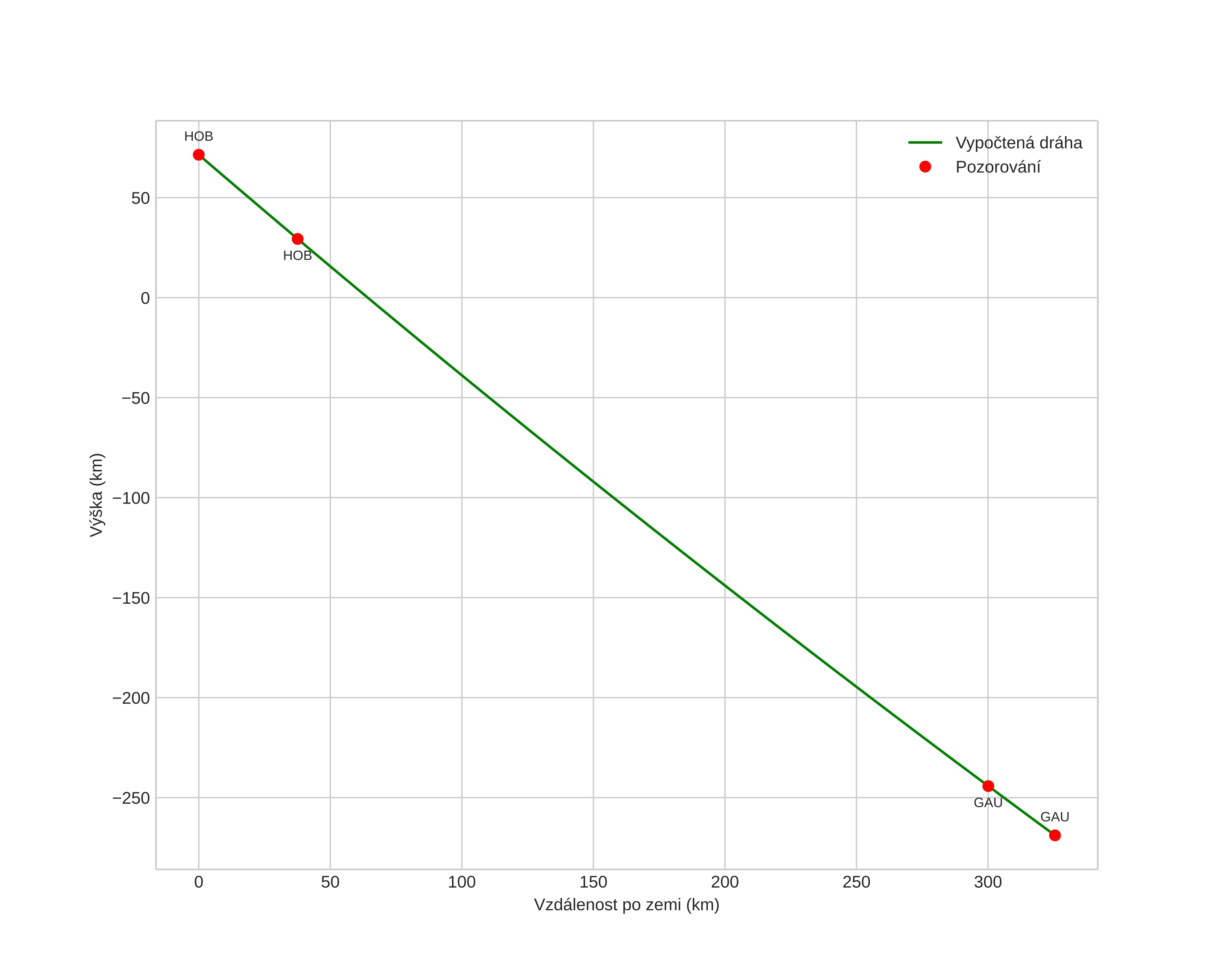
Atmosférická dráha meteoru: 
    | Počáteční výška: |  71,1 km |  
    | Konečná výška: |  -266,4 km |  
    | Počáteční poloha: |  56,082N 9,130E |  
    | Konečná poloha: |  58,813N 10,968E |  
    | Směr: |  19,1° |  
    | Sklon: |  46,3° |  
 
 | 
 |