🇳🇴 🇬🇧 🇩🇪 🇨🇿 🇫🇮

Meteor, poloha: Langesund 2023-04-03 00:00:52 UTC

Soubor KML  |  InteraktivnĂ­ mapa

Mapa zobrazuje dráhy meteoru. Světlejší čáry ukazují směry od pozorovacích stanic při objevení se meteoru a tmavší čáry, kde byl naposledy viděn. Modrá šipka značí viditelnou dráhu meteoru.

static map
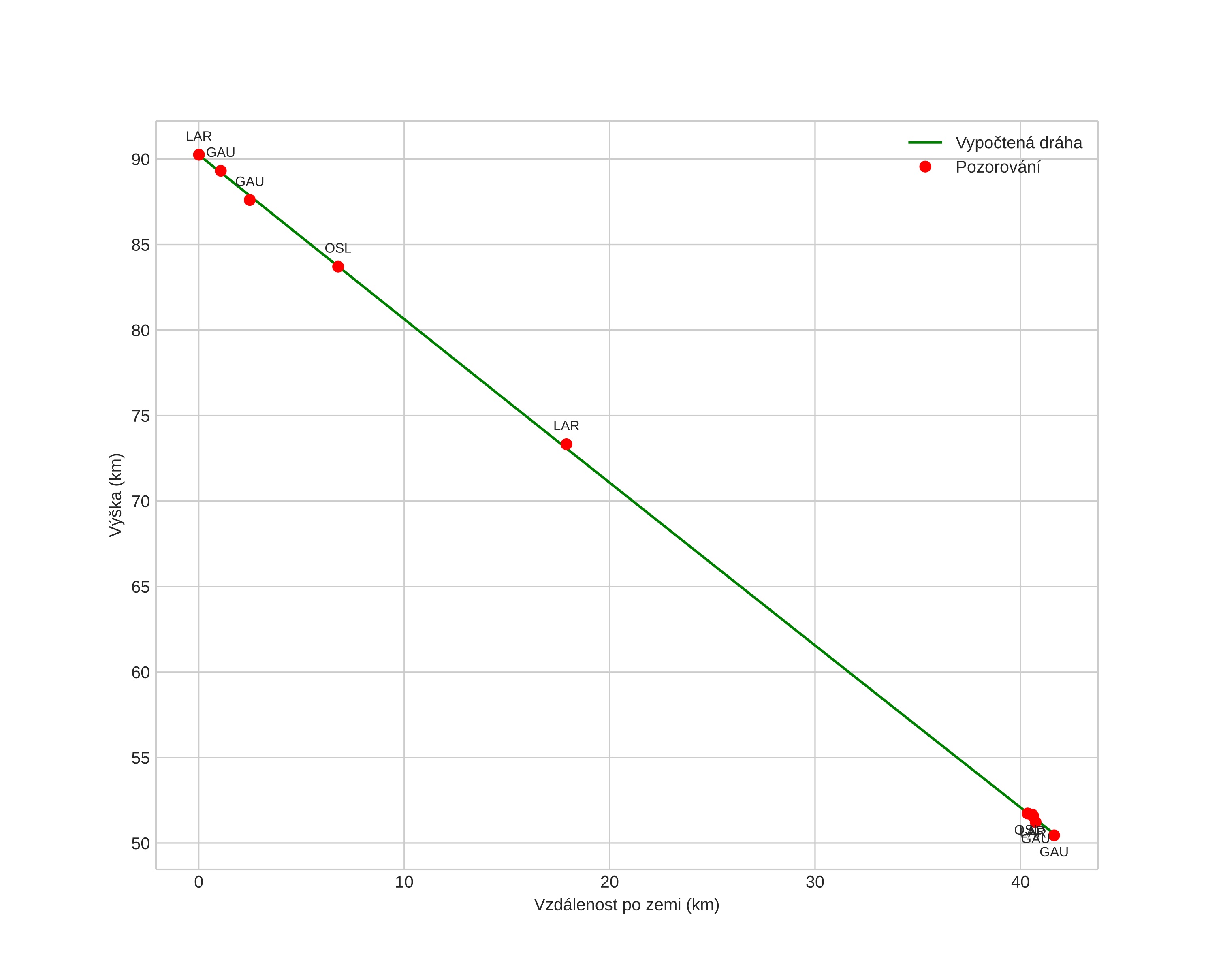
height profile
Atmosférická dráha meteoru:
Počáteční výška: 99,4 km
Konečná výška: 49,9 km
Počáteční poloha: 58,300N 9,626E
Konečná poloha: 58,764N 9,689E
Směr: 4,1°
Sklon: 43,7°
VstupnĂ­ rychlost: 27,1 km/s
Rektascenze radiantu: 13:07 (196,9°)
Deklinace radiantu: 9,9°
MeteorickĂ˝ roj: sporadickĂ˝
Elementy dráhy meteoroidu:
Vzdálenost v periheliu: 0,593 AU
Excentricita: 0,817
Sklon dráhy: 12,5°
Délka vzestupného uzlu: 12,7°
Argument perihelia: 264,5°
Střední anomálie: 352,8°
Epocha: 2023 APR 03 00:00:52
orbit plot

NeinteraktivnĂ­ graf | InteraktivnĂ­ graf

position vs time
speed and acceleration