🇳🇴 🇬🇧 🇩🇪 🇨🇿 🇫🇮

Meteor, poloha: Gränna 2023-04-03 01:34:14 UTC

Soubor KML  |  InteraktivnĂ­ mapa

Mapa zobrazuje dráhy meteoru. Světlejší čáry ukazují směry od pozorovacích stanic při objevení se meteoru a tmavší čáry, kde byl naposledy viděn. Modrá šipka značí viditelnou dráhu meteoru.

static map
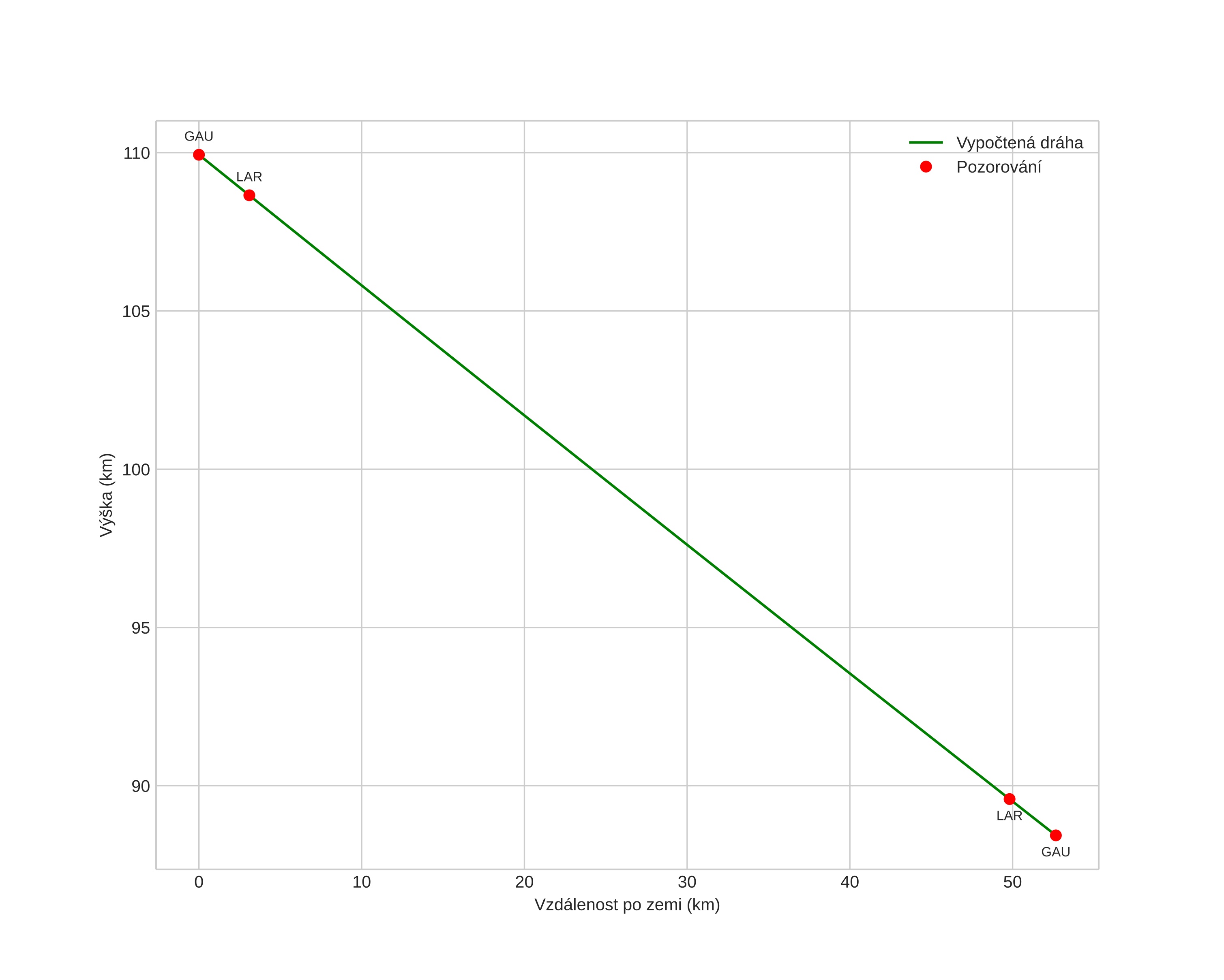
height profile
Atmosférická dráha meteoru:
Počáteční výška: 113,2 km
Konečná výška: 90,4 km
Počáteční poloha: 57,755N 15,321E
Konečná poloha: 58,078N 14,576E
Směr: 309,5°
Sklon: 21,9°
VstupnĂ­ rychlost: 67,1 km/s
Rektascenze radiantu: 18:21 (275,4°)
Deklinace radiantu: -0,5°
MeteorickĂ˝ roj: sporadickĂ˝
Elementy dráhy meteoroidu:
Vzdálenost v periheliu: 0,969 AU
Excentricita: 0,853
Sklon dráhy: 140,1°
Délka vzestupného uzlu: 12,7°
Argument perihelia: 200,9°
Střední anomálie: 359,1°
Epocha: 2023 APR 03 01:34:14
orbit plot

NeinteraktivnĂ­ graf | InteraktivnĂ­ graf

position vs time
speed and acceleration