🇳🇴 🇬🇧 🇩🇪 🇨🇿 🇫🇮

Meteor, poloha: Olderdalen 2023-04-06 20:58:45 UTC

Soubor KML  |  InteraktivnĂ­ mapa

Mapa zobrazuje dráhy meteoru. Světlejší čáry ukazují směry od pozorovacích stanic při objevení se meteoru a tmavší čáry, kde byl naposledy viděn. Modrá šipka značí viditelnou dráhu meteoru.

static map
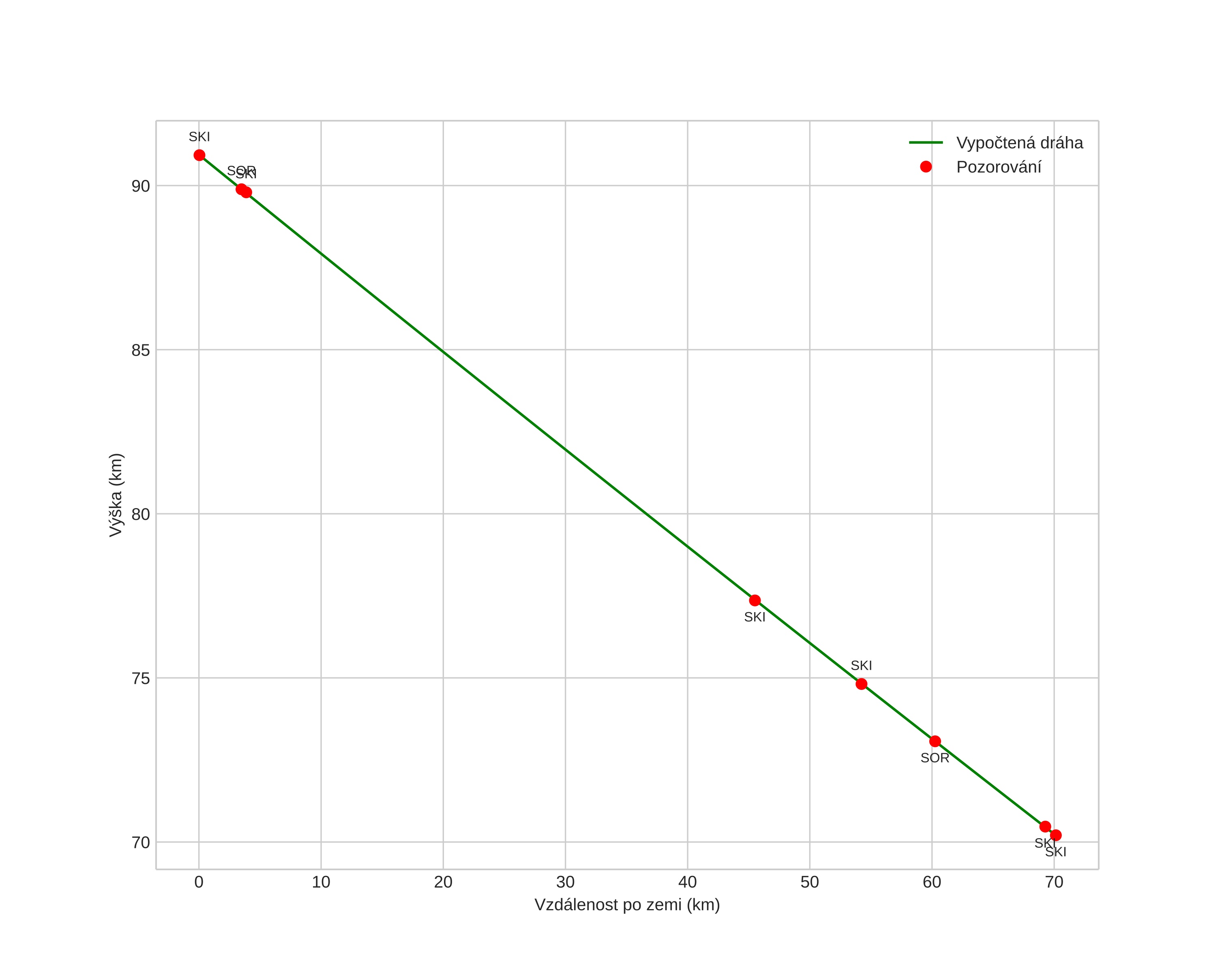
height profile
Atmosférická dráha meteoru:
Počáteční výška: 91,0 km
Konečná výška: 70,2 km
Počáteční poloha: 69,075N 21,342E
Konečná poloha: 69,654N 20,628E
Směr: 336,8°
Sklon: 16,5°
VstupnĂ­ rychlost: 25,5 km/s
Rektascenze radiantu: 12:51 (193,0°)
Deklinace radiantu: -7,2°
MeteorickĂ˝ roj: sporadickĂ˝
Elementy dráhy meteoroidu:
Vzdálenost v periheliu: 0,591 AU
Excentricita: 0,771
Sklon dráhy: 1,1°
Délka vzestupného uzlu: 196,4°
Argument perihelia: 86,6°
Střední anomálie: 349,4°
Epocha: 2023 APR 06 20:58:45
orbit plot

NeinteraktivnĂ­ graf | InteraktivnĂ­ graf

position vs time
speed and acceleration