🇳🇴 🇬🇧 🇩🇪 🇨🇿 🇫🇮

Meteor, poloha: Bismo 2023-04-07 23:34:44 UTC

Soubor KML  |  InteraktivnĂ­ mapa

Mapa zobrazuje dráhy meteoru. Světlejší čáry ukazují směry od pozorovacích stanic při objevení se meteoru a tmavší čáry, kde byl naposledy viděn. Modrá šipka značí viditelnou dráhu meteoru.

static map
height profile
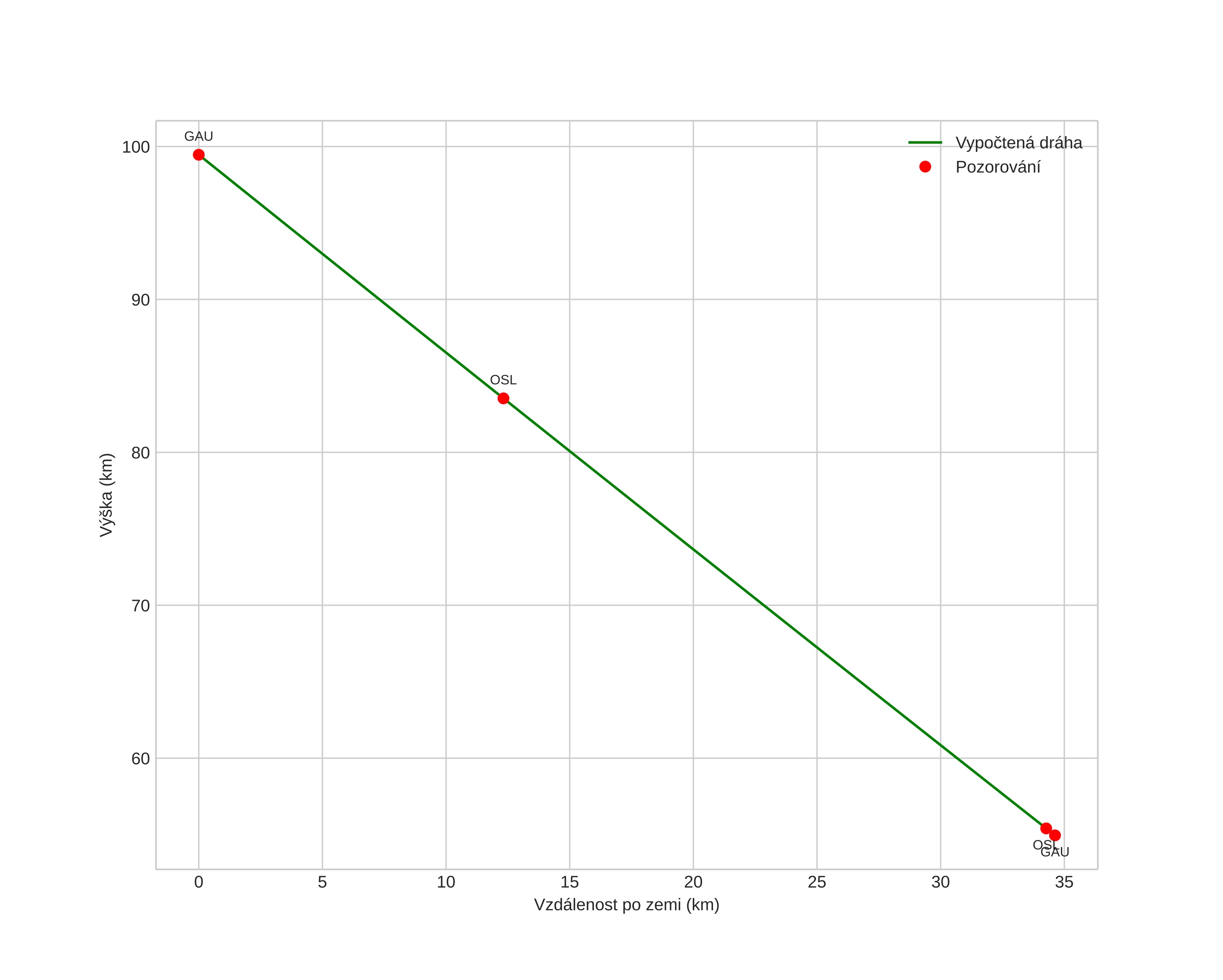
Atmosférická dráha meteoru:
Počáteční výška: 97,6 km
Konečná výška: 55,0 km
Počáteční poloha: 62,382N 7,783E
Konečná poloha: 62,081N 7,861E
Směr: 173,1°
Sklon: 51,7°
VstupnĂ­ rychlost: 21,3 km/s
Rektascenze radiantu: 02:31 (38,0°)
Deklinace radiantu: 75,4°
MeteorickĂ˝ roj: sporadickĂ˝
Elementy dráhy meteoroidu:
Vzdálenost v periheliu: 0,972 AU
Excentricita: 0,920
Sklon dráhy: 21,7°
Délka vzestupného uzlu: 17,6°
Argument perihelia: 160,1°
Střední anomálie: 0,3°
Epocha: 2023 APR 07 23:34:44
orbit plot

NeinteraktivnĂ­ graf | InteraktivnĂ­ graf

position vs time
speed and acceleration