🇳🇴 🇬🇧 🇩🇪 🇨🇿 🇫🇮

Meteor, poloha: Sykkylven 2023-04-08 03:09:59 UTC

Soubor KML  |  InteraktivnĂ­ mapa

Mapa zobrazuje dráhy meteoru. Světlejší čáry ukazují směry od pozorovacích stanic při objevení se meteoru a tmavší čáry, kde byl naposledy viděn. Modrá šipka značí viditelnou dráhu meteoru.

static map
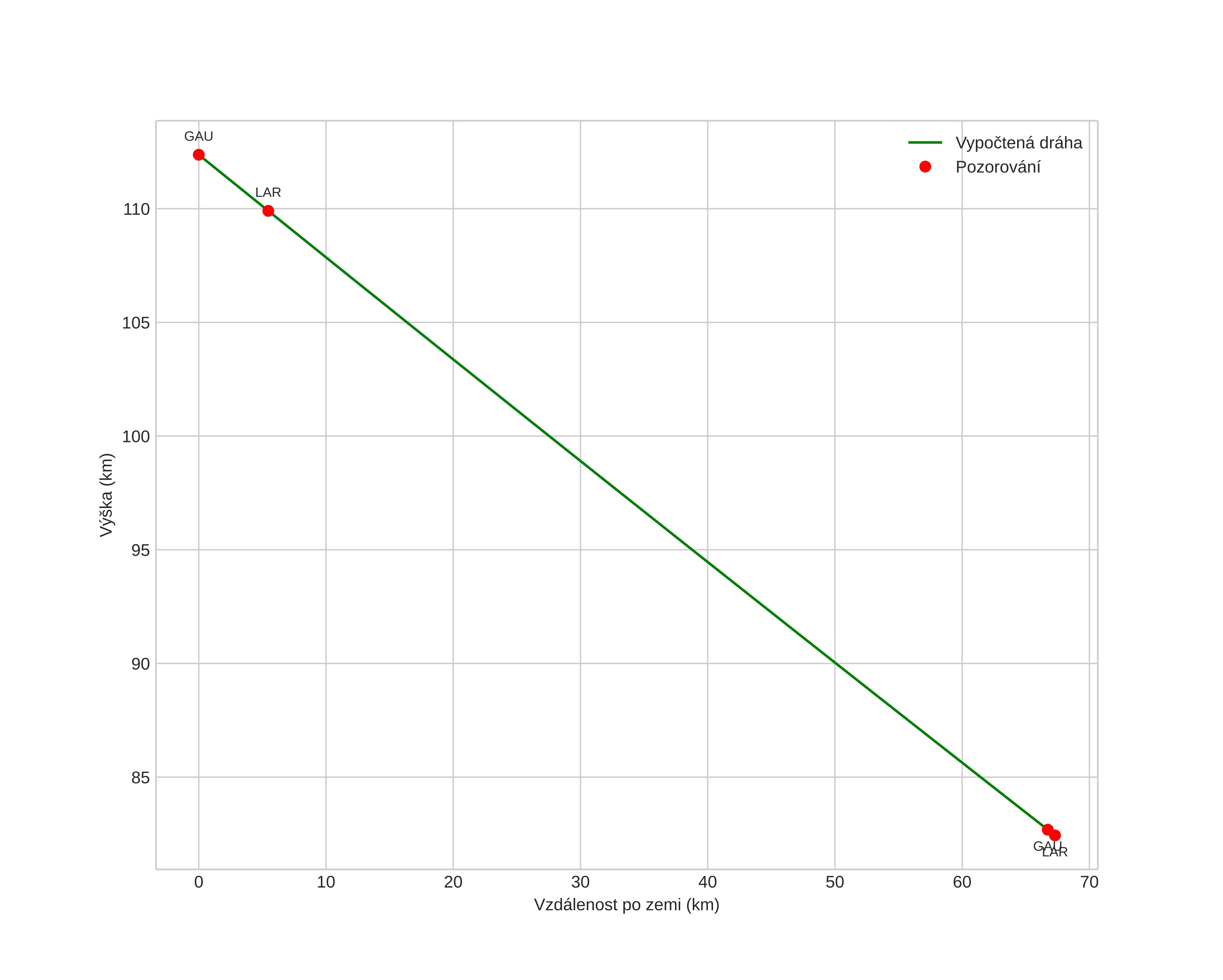
height profile
Atmosférická dráha meteoru:
Počáteční výška: 110,4 km
Konečná výška: 80,4 km
Počáteční poloha: 62,108N 7,668E
Konečná poloha: 62,387N 6,552E
Směr: 298,7°
Sklon: 24,6°
VstupnĂ­ rychlost: 65,4 km/s
Rektascenze radiantu: 20:19 (304,9°)
Deklinace radiantu: 8,8°
MeteorickĂ˝ roj: sporadickĂ˝
Elementy dráhy meteoroidu:
Vzdálenost v periheliu: 0,762 AU
Excentricita: 1,105
Sklon dráhy: 127,8°
Délka vzestupného uzlu: 17,7°
Argument perihelia: 123,0°
Střední anomálie: 1,6°
Epocha: 2023 APR 08 03:09:59
orbit plot

NeinteraktivnĂ­ graf | InteraktivnĂ­ graf

position vs time
speed and acceleration