🇳🇴 🇬🇧 🇩🇪 🇨🇿 🇫🇮

Meteor, poloha: Vinderup 2023-04-08 20:36:43 UTC

Soubor KML  |  InteraktivnĂ­ mapa

Mapa zobrazuje dráhy meteoru. Světlejší čáry ukazují směry od pozorovacích stanic při objevení se meteoru a tmavší čáry, kde byl naposledy viděn. Modrá šipka značí viditelnou dráhu meteoru.

static map
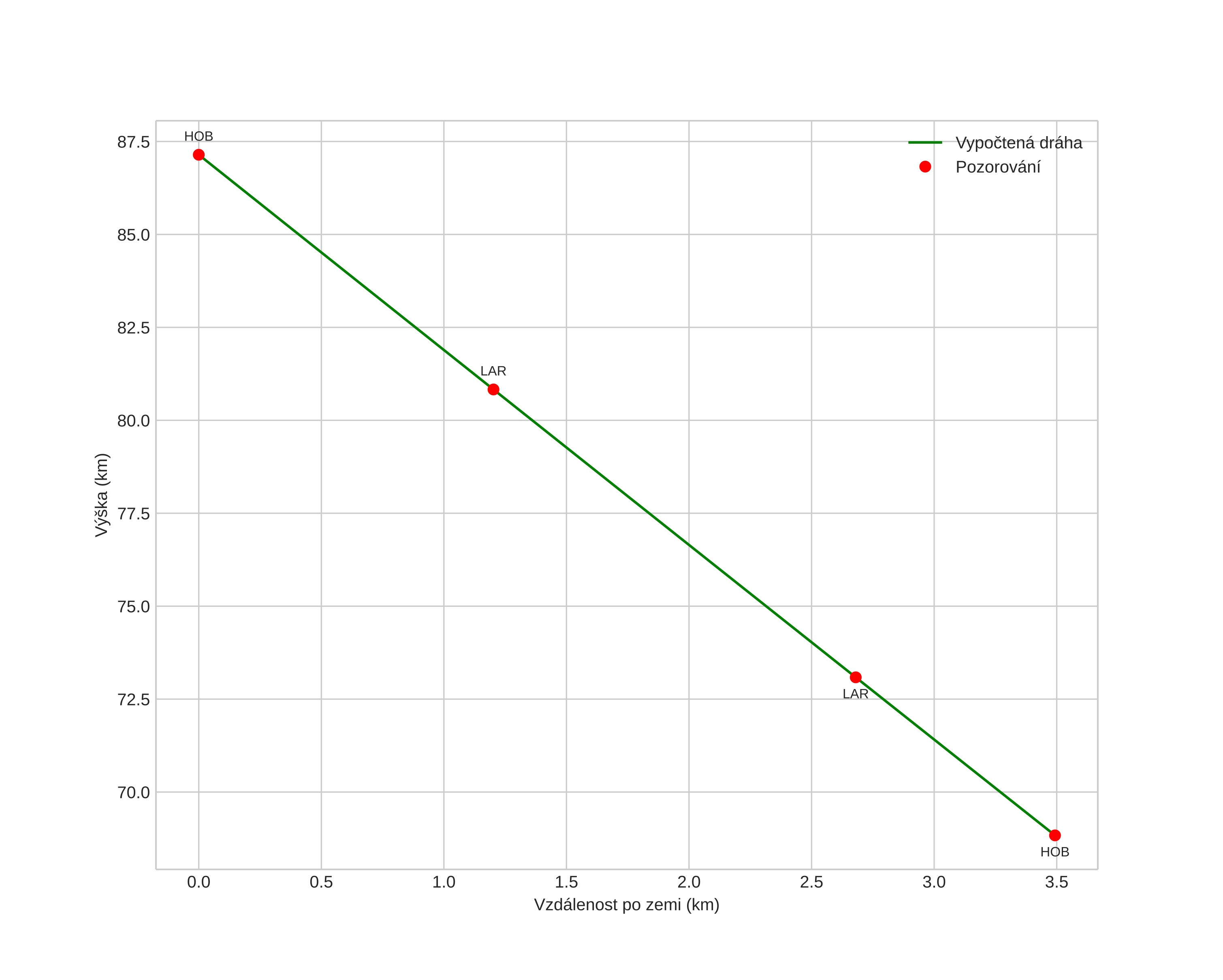
height profile
Atmosférická dráha meteoru:
Počáteční výška: 87,1 km
Konečná výška: 68,8 km
Počáteční poloha: 56,471N 8,861E
Konečná poloha: 56,452N 8,815E
Směr: 233,7°
Sklon: 79,2°
VstupnĂ­ rychlost: 13,2 km/s
Rektascenze radiantu: 11:46 (176,6°)
Deklinace radiantu: 63,1°
MeteorickĂ˝ roj: sporadickĂ˝
Elementy dráhy meteoroidu:
Vzdálenost v periheliu: 0,996 AU
Excentricita: 0,295
Sklon dráhy: 9,8°
Délka vzestupného uzlu: 18,4°
Argument perihelia: 192,5°
Střední anomálie: 353,5°
Epocha: 2023 APR 08 20:36:43
orbit plot

NeinteraktivnĂ­ graf | InteraktivnĂ­ graf

position vs time
speed and acceleration