🇳🇴 🇬🇧 🇩🇪 🇨🇿 🇫🇮

Meteor, poloha: Tromsø 2023-04-11 23:12:40 UTC

Soubor KML  |  InteraktivnĂ­ mapa

Mapa zobrazuje dráhy meteoru. Světlejší čáry ukazují směry od pozorovacích stanic při objevení se meteoru a tmavší čáry, kde byl naposledy viděn. Modrá šipka značí viditelnou dráhu meteoru.

static map
height profile
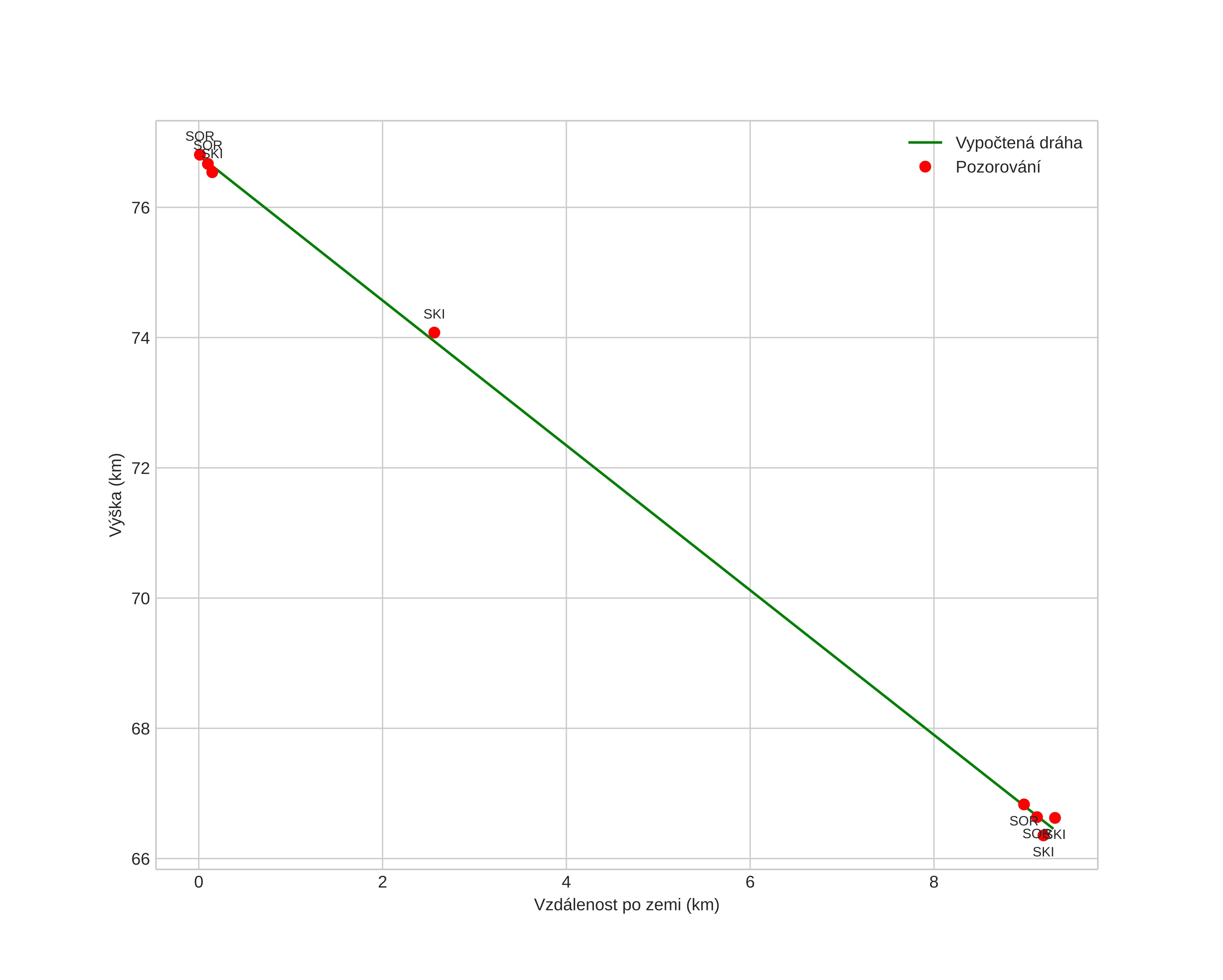
Atmosférická dráha meteoru:
Počáteční výška: 77,2 km
Konečná výška: 66,3 km
Počáteční poloha: 69,559N 18,945E
Konečná poloha: 69,470N 18,962E
Směr: 176,1°
Sklon: 47,9°
VstupnĂ­ rychlost: 19,6 km/s
Rektascenze radiantu: 02:16 (34,1°)
Deklinace radiantu: 63,9°
MeteorickĂ˝ roj: sporadickĂ˝
Elementy dráhy meteoroidu:
Vzdálenost v periheliu: 0,935 AU
Excentricita: 0,767
Sklon dráhy: 17,9°
Délka vzestupného uzlu: 21,5°
Argument perihelia: 147,8°
Střední anomálie: 2,9°
Epocha: 2023 APR 11 23:12:40
orbit plot

NeinteraktivnĂ­ graf | InteraktivnĂ­ graf

position vs time
speed and acceleration