🇳🇴 🇬🇧 🇩🇪 🇨🇿 🇫🇮

Meteor, poloha: Hansnes 2023-04-11 23:28:40 UTC

Soubor KML  |  InteraktivnĂ­ mapa

Mapa zobrazuje dráhy meteoru. Světlejší čáry ukazují směry od pozorovacích stanic při objevení se meteoru a tmavší čáry, kde byl naposledy viděn. Modrá šipka značí viditelnou dráhu meteoru.

static map
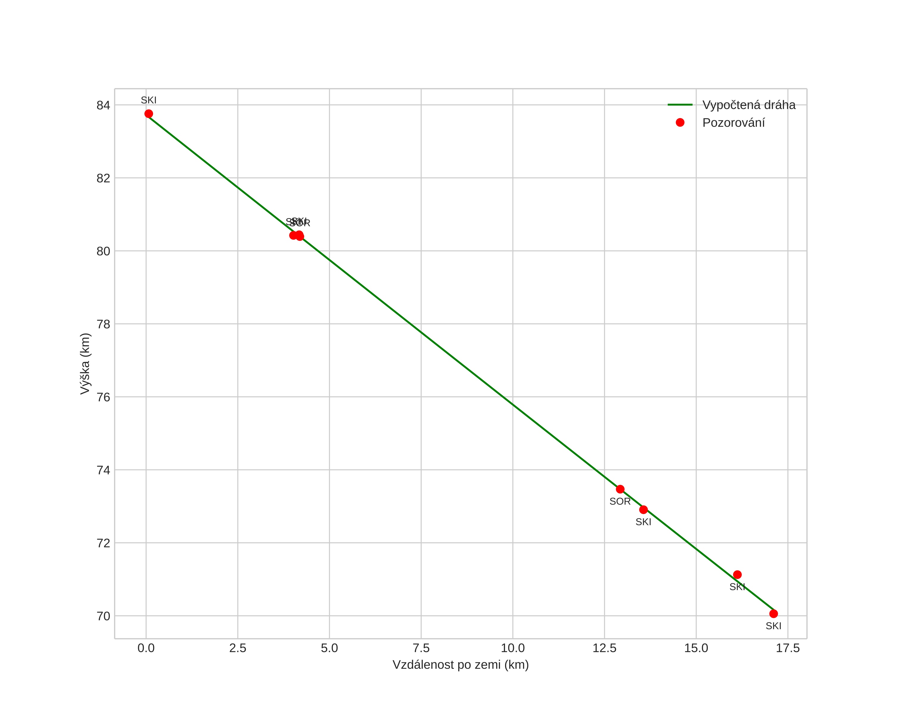
height profile
Atmosférická dráha meteoru:
Počáteční výška: 83,5 km
Konečná výška: 70,2 km
Počáteční poloha: 69,428N 19,370E
Konečná poloha: 69,559N 19,600E
Směr: 31,4°
Sklon: 37,9°
VstupnĂ­ rychlost: 17,0 km/s
Rektascenze radiantu: 12:12 (183,1°)
Deklinace radiantu: 12,2°
MeteorickĂ˝ roj: sporadickĂ˝
Elementy dráhy meteoroidu:
Vzdálenost v periheliu: 0,874 AU
Excentricita: 0,575
Sklon dráhy: 4,6°
Délka vzestupného uzlu: 21,5°
Argument perihelia: 229,4°
Střední anomálie: 348,0°
Epocha: 2023 APR 11 23:28:40
orbit plot

NeinteraktivnĂ­ graf | InteraktivnĂ­ graf

position vs time
speed and acceleration