🇳🇴 🇬🇧 🇩🇪 🇨🇿 🇫🇮

Meteor, poloha: Hansnes 2023-04-12 00:41:55 UTC

Soubor KML  |  InteraktivnĂ­ mapa

Mapa zobrazuje dráhy meteoru. Světlejší čáry ukazují směry od pozorovacích stanic při objevení se meteoru a tmavší čáry, kde byl naposledy viděn. Modrá šipka značí viditelnou dráhu meteoru.

static map
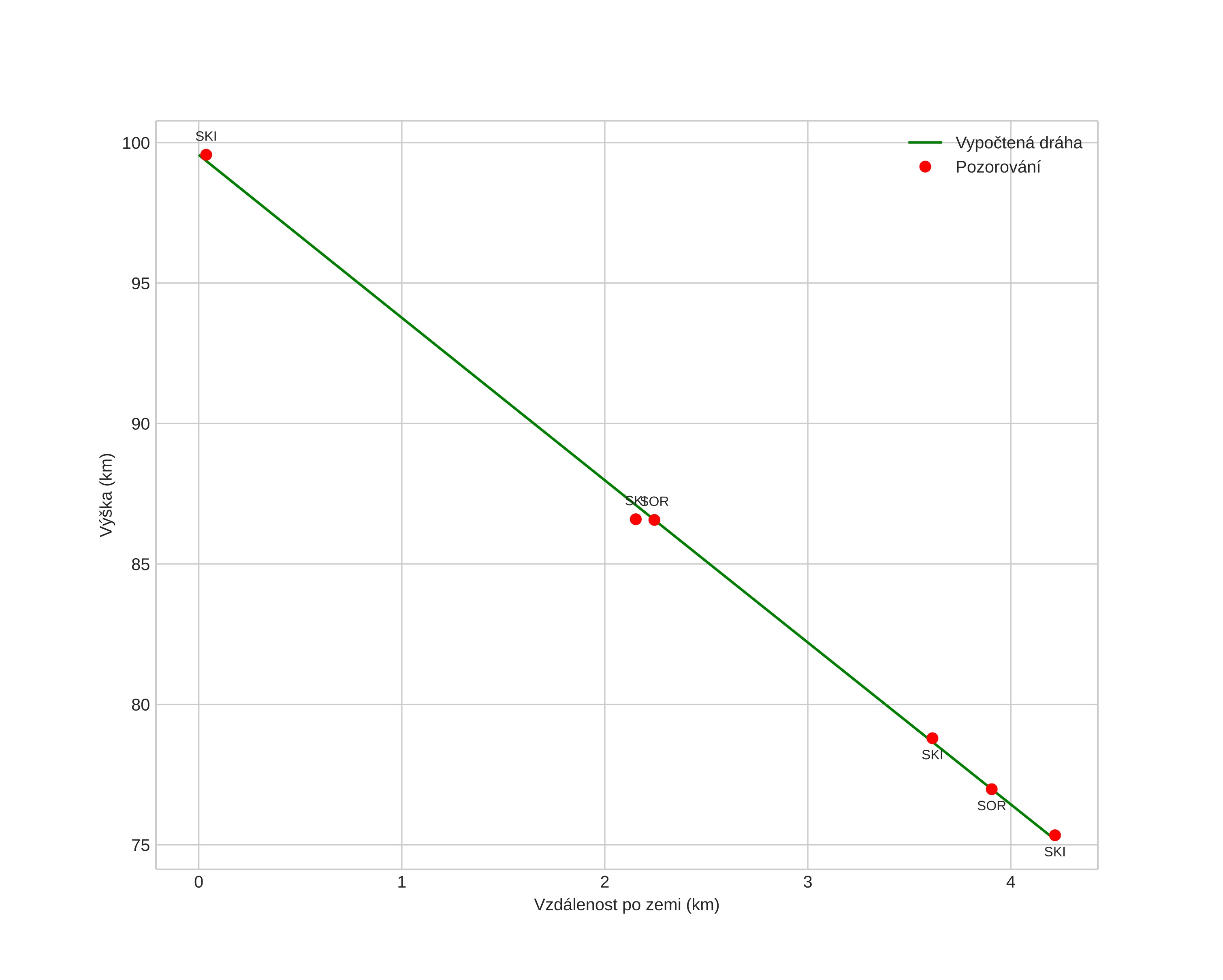
height profile
Atmosférická dráha meteoru:
Počáteční výška: 99,6 km
Konečná výška: 75,3 km
Počáteční poloha: 69,697N 19,288E
Konečná poloha: 69,712N 19,389E
Směr: 67,2°
Sklon: 80,2°
VstupnĂ­ rychlost: 21,9 km/s
Rektascenze radiantu: 13:44 (206,2°)
Deklinace radiantu: 63,7°
MeteorickĂ˝ roj: sporadickĂ˝
Elementy dráhy meteoroidu:
Vzdálenost v periheliu: 0,982 AU
Excentricita: 0,793
Sklon dráhy: 25,6°
Délka vzestupného uzlu: 21,5°
Argument perihelia: 197,2°
Střední anomálie: 358,8°
Epocha: 2023 APR 12 00:41:55
orbit plot

NeinteraktivnĂ­ graf | InteraktivnĂ­ graf

position vs time
speed and acceleration