🇳🇴 🇬🇧 🇩🇪 🇨🇿 🇫🇮

Meteor, poloha: Finnsnes 2023-04-12 20:54:48 UTC

Soubor KML  |  InteraktivnĂ­ mapa

Mapa zobrazuje dráhy meteoru. Světlejší čáry ukazují směry od pozorovacích stanic při objevení se meteoru a tmavší čáry, kde byl naposledy viděn. Modrá šipka značí viditelnou dráhu meteoru.

static map
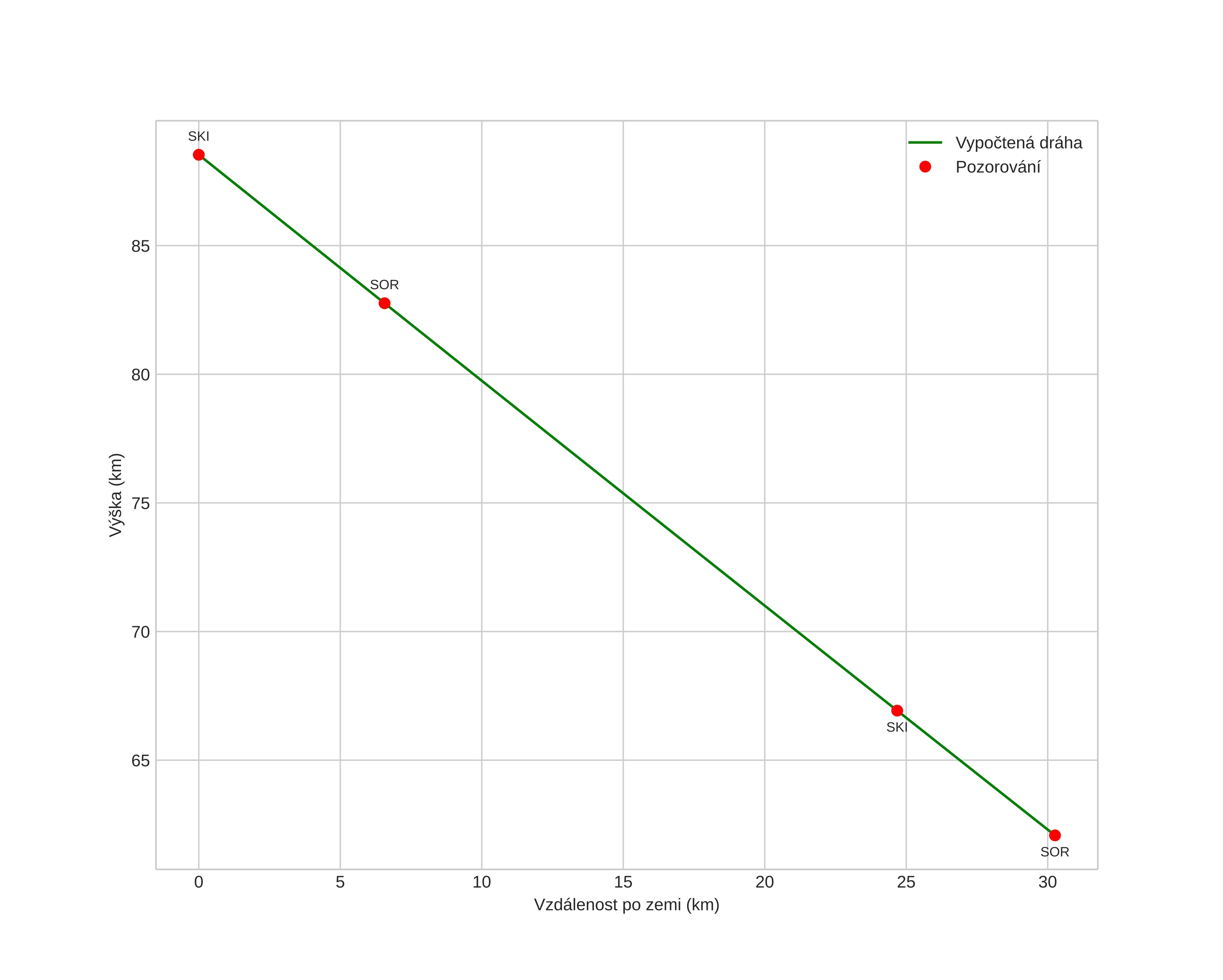
height profile
Atmosférická dráha meteoru:
Počáteční výška: 88,5 km
Konečná výška: 62,1 km
Počáteční poloha: 69,151N 18,130E
Konečná poloha: 69,421N 18,040E
Směr: 353,4°
Sklon: 41,1°
VstupnĂ­ rychlost: 17,5 km/s
Rektascenze radiantu: 11:49 (177,3°)
Deklinace radiantu: 13,8°
MeteorickĂ˝ roj: sporadickĂ˝
Elementy dráhy meteoroidu:
Vzdálenost v periheliu: 0,900 AU
Excentricita: 0,675
Sklon dráhy: 4,2°
Délka vzestupného uzlu: 22,4°
Argument perihelia: 221,6°
Střední anomálie: 353,6°
Epocha: 2023 APR 12 20:54:48
orbit plot

NeinteraktivnĂ­ graf | InteraktivnĂ­ graf

position vs time
speed and acceleration