🇳🇴 🇬🇧 🇩🇪 🇨🇿 🇫🇮

Meteor, poloha: Rovaniemi 2023-04-12 20:55:04 UTC

Soubor KML  |  InteraktivnĂ­ mapa

Mapa zobrazuje dráhy meteoru. Světlejší čáry ukazují směry od pozorovacích stanic při objevení se meteoru a tmavší čáry, kde byl naposledy viděn. Modrá šipka značí viditelnou dráhu meteoru.

static map
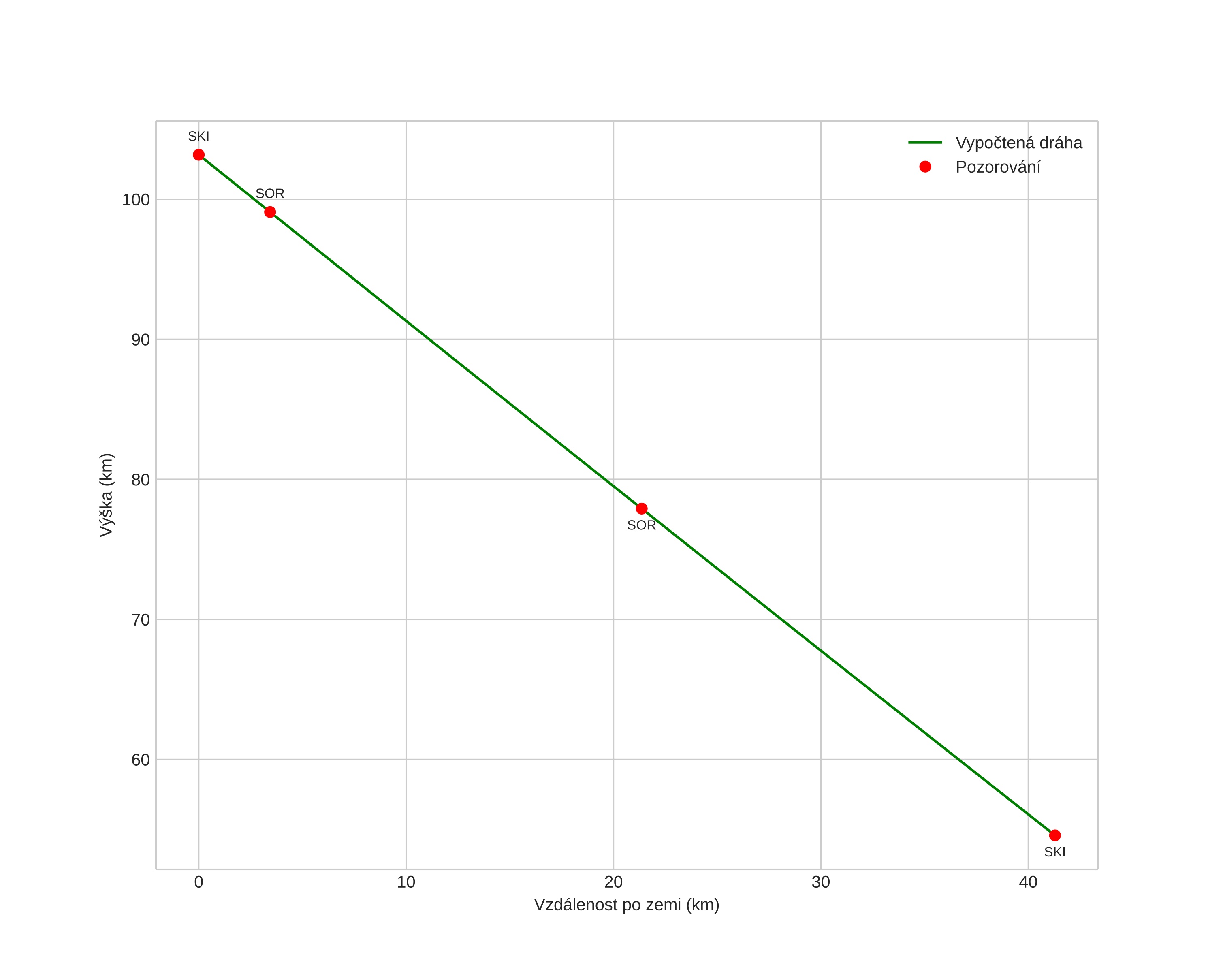
height profile
Atmosférická dráha meteoru:
Počáteční výška: 103,2 km
Konečná výška: 54,6 km
Počáteční poloha: 66,441N 26,094E
Konečná poloha: 66,194N 25,405E
Směr: 228,5°
Sklon: 49,7°
VstupnĂ­ rychlost: 35,4 km/s
Rektascenze radiantu: 18:48 (282,2°)
Deklinace radiantu: 59,8°
MeteorickĂ˝ roj: sporadickĂ˝
Elementy dráhy meteoroidu:
Vzdálenost v periheliu: 0,999 AU
Excentricita: 0,955
Sklon dráhy: 52,9°
Délka vzestupného uzlu: 22,4°
Argument perihelia: 173,2°
Střední anomálie: 0,0°
Epocha: 2023 APR 12 20:55:04
orbit plot

NeinteraktivnĂ­ graf | InteraktivnĂ­ graf

position vs time
speed and acceleration