🇳🇴 🇬🇧 🇩🇪 🇨🇿 🇫🇮

Meteor, poloha: Kautokeino 2023-04-13 22:55:26 UTC

Soubor KML  |  InteraktivnĂ­ mapa

Mapa zobrazuje dráhy meteoru. Světlejší čáry ukazují směry od pozorovacích stanic při objevení se meteoru a tmavší čáry, kde byl naposledy viděn. Modrá šipka značí viditelnou dráhu meteoru.

static map
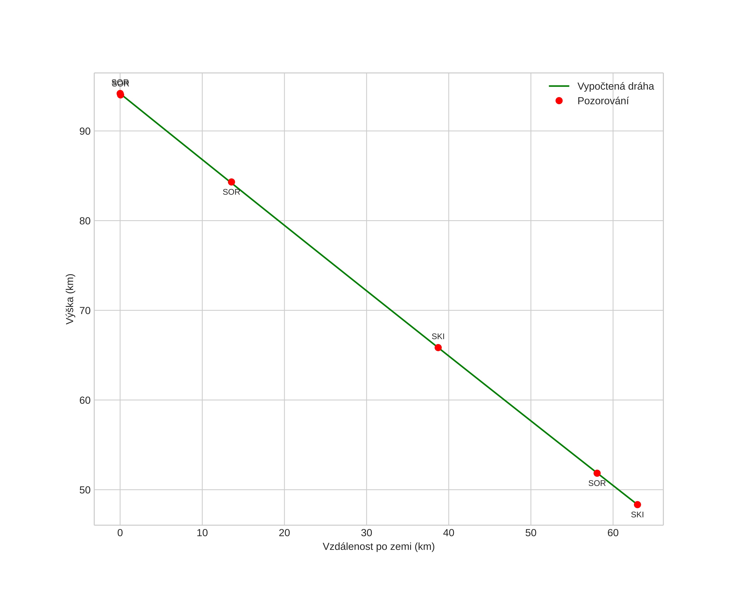
height profile
Atmosférická dráha meteoru:
Počáteční výška: 94,2 km
Konečná výška: 48,3 km
Počáteční poloha: 67,928N 22,923E
Konečná poloha: 68,495N 22,958E
Směr: 1,3°
Sklon: 36,1°
VstupnĂ­ rychlost: 27,5 km/s
Rektascenze radiantu: 13:47 (206,8°)
Deklinace radiantu: 11,5°
MeteorickĂ˝ roj: sporadickĂ˝
Elementy dráhy meteoroidu:
Vzdálenost v periheliu: 0,635 AU
Excentricita: 0,852
Sklon dráhy: 16,2°
Délka vzestupného uzlu: 23,4°
Argument perihelia: 258,3°
Střední anomálie: 355,4°
Epocha: 2023 APR 13 22:55:26
orbit plot

NeinteraktivnĂ­ graf | InteraktivnĂ­ graf

position vs time
speed and acceleration