🇳🇴 🇬🇧 🇩🇪 🇨🇿 🇫🇮

Meteor, poloha: Bagn 2023-04-17 20:41:44 UTC

Soubor KML  |  InteraktivnĂ­ mapa

Mapa zobrazuje dráhy meteoru. Světlejší čáry ukazují směry od pozorovacích stanic při objevení se meteoru a tmavší čáry, kde byl naposledy viděn. Modrá šipka značí viditelnou dráhu meteoru.

static map
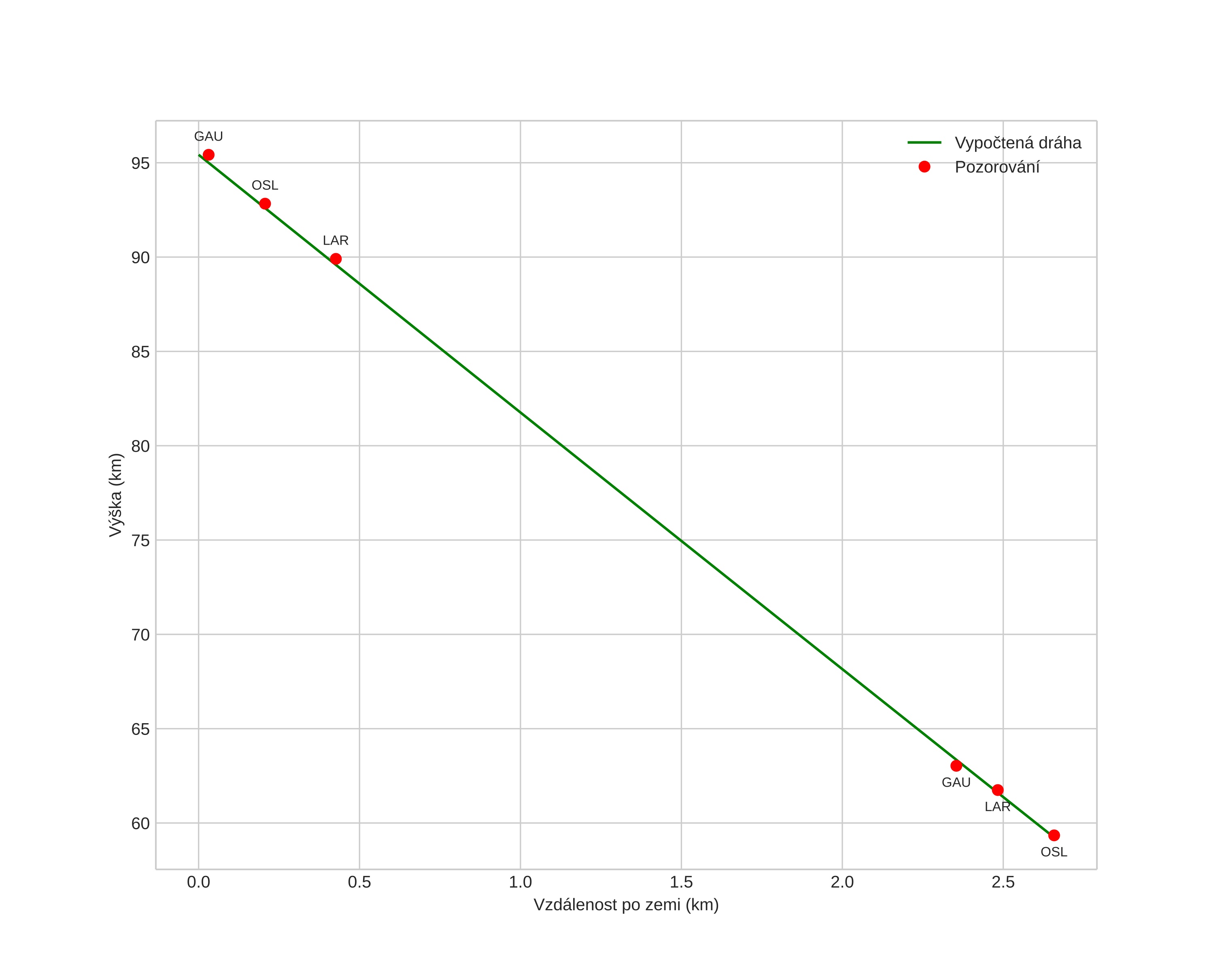
height profile
Atmosférická dráha meteoru:
Počáteční výška: 103,1 km
Konečná výška: 59,7 km
Počáteční poloha: 60,667N 9,466E
Konečná poloha: 60,701N 9,431E
Směr: 333,9°
Sklon: 84,4°
VstupnĂ­ rychlost: 17,5 km/s
Rektascenze radiantu: 11:14 (168,5°)
Deklinace radiantu: 54,9°
MeteorickĂ˝ roj: sporadickĂ˝
Elementy dráhy meteoroidu:
Vzdálenost v periheliu: 0,994 AU
Excentricita: 0,779
Sklon dráhy: 13,9°
Délka vzestupného uzlu: 27,3°
Argument perihelia: 191,9°
Střední anomálie: 359,1°
Epocha: 2023 APR 17 20:41:44
orbit plot

NeinteraktivnĂ­ graf | InteraktivnĂ­ graf

position vs time
speed and acceleration