🇳🇴 🇬🇧 🇩🇪 🇨🇿 🇫🇮

Meteor, poloha: Nykøbing Mors 2023-04-17 20:57:46 UTC

Soubor KML  |  InteraktivnĂ­ mapa

Mapa zobrazuje dráhy meteoru. Světlejší čáry ukazují směry od pozorovacích stanic při objevení se meteoru a tmavší čáry, kde byl naposledy viděn. Modrá šipka značí viditelnou dráhu meteoru.

static map
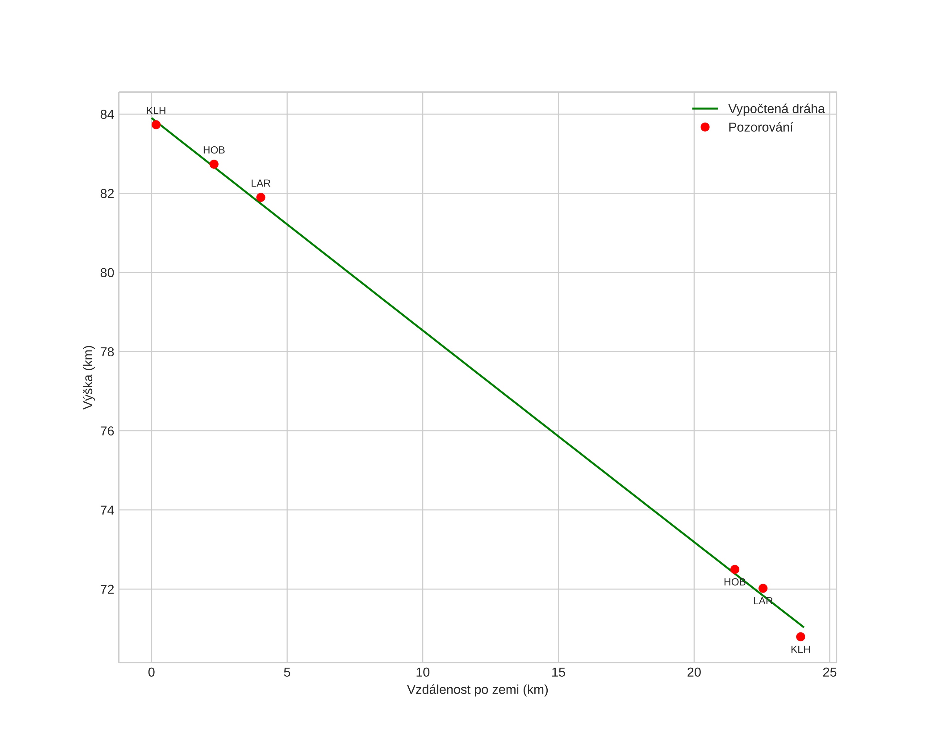
height profile
Atmosférická dráha meteoru:
Počáteční výška: 83,9 km
Konečná výška: 71,0 km
Počáteční poloha: 56,660N 9,163E
Konečná poloha: 56,845N 8,960E
Směr: 329,2°
Sklon: 28,2°
VstupnĂ­ rychlost: 22,0 km/s
Rektascenze radiantu: 13:06 (196,6°)
Deklinace radiantu: -6,0°
MeteorickĂ˝ roj: sporadickĂ˝
Elementy dráhy meteoroidu:
Vzdálenost v periheliu: 0,718 AU
Excentricita: 0,708
Sklon dráhy: 0,6°
Délka vzestupného uzlu: 27,4°
Argument perihelia: 251,6°
Střední anomálie: 349,0°
Epocha: 2023 APR 17 20:57:46
orbit plot

NeinteraktivnĂ­ graf | InteraktivnĂ­ graf

position vs time
speed and acceleration