🇳🇴 🇬🇧 🇩🇪 🇨🇿 🇫🇮

Meteor, poloha: Kongsberg 2023-04-18 01:11:29 UTC

Soubor KML  |  InteraktivnĂ­ mapa

Mapa zobrazuje dráhy meteoru. Světlejší čáry ukazují směry od pozorovacích stanic při objevení se meteoru a tmavší čáry, kde byl naposledy viděn. Modrá šipka značí viditelnou dráhu meteoru.

static map
height profile
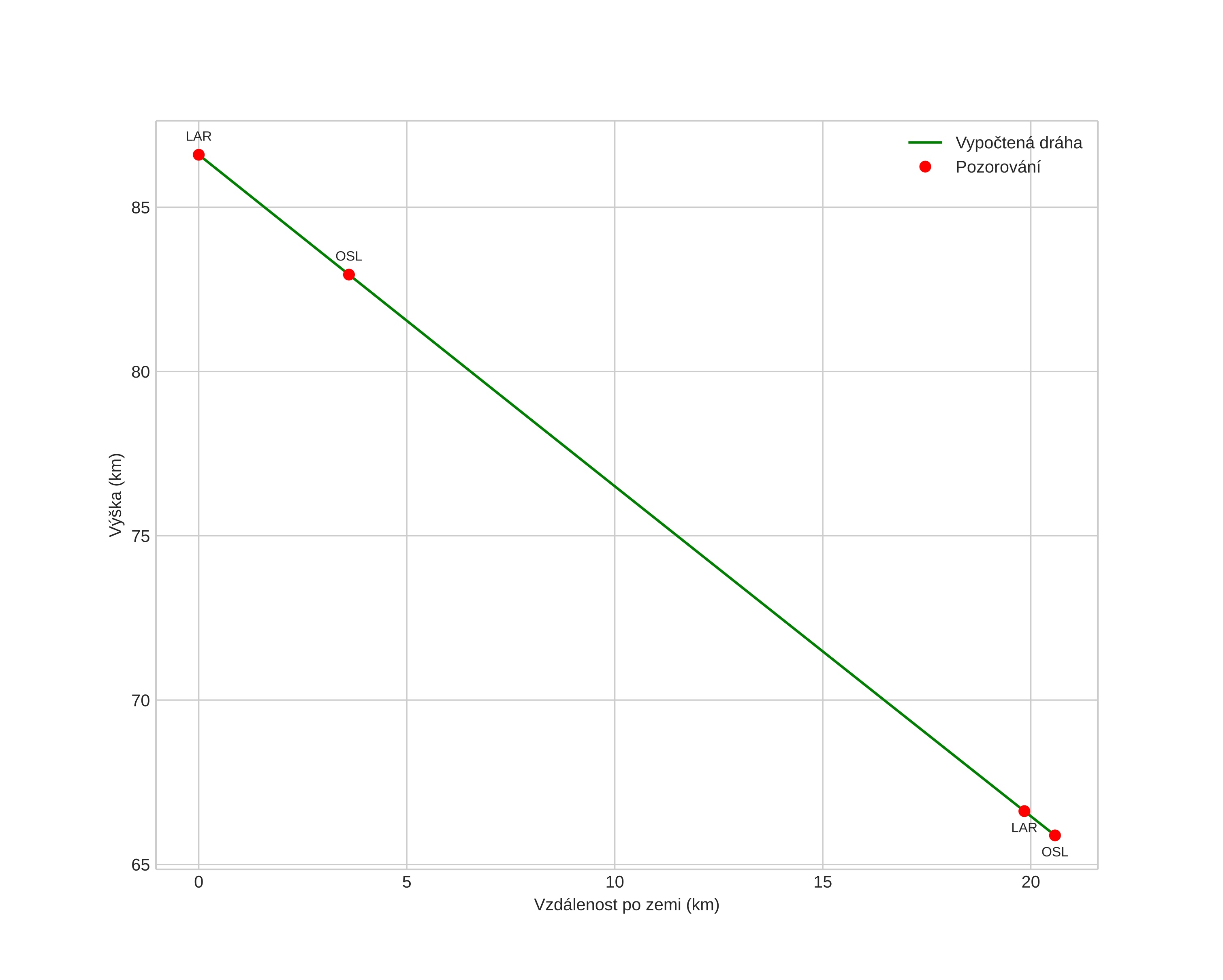
Atmosférická dráha meteoru:
Počáteční výška: 86,7 km
Konečná výška: 65,9 km
Počáteční poloha: 59,653N 9,248E
Konečná poloha: 59,605N 9,603E
Směr: 104,6°
Sklon: 45,2°
VstupnĂ­ rychlost: 14,5 km/s
Rektascenze radiantu: 10:02 (150,6°)
Deklinace radiantu: 36,4°
MeteorickĂ˝ roj: sporadickĂ˝
Elementy dráhy meteoroidu:
Vzdálenost v periheliu: 0,997 AU
Excentricita: 0,650
Sklon dráhy: 5,6°
Délka vzestupného uzlu: 27,5°
Argument perihelia: 190,8°
Střední anomálie: 358,2°
Epocha: 2023 APR 18 01:11:29
orbit plot

NeinteraktivnĂ­ graf | InteraktivnĂ­ graf

position vs time
speed and acceleration