🇳🇴 🇬🇧 🇩🇪 🇨🇿 🇫🇮

Meteor, poloha: Westerland 2023-04-18 19:57:37 UTC

Soubor KML  |  InteraktivnĂ­ mapa

Mapa zobrazuje dráhy meteoru. Světlejší čáry ukazují směry od pozorovacích stanic při objevení se meteoru a tmavší čáry, kde byl naposledy viděn. Modrá šipka značí viditelnou dráhu meteoru.

static map
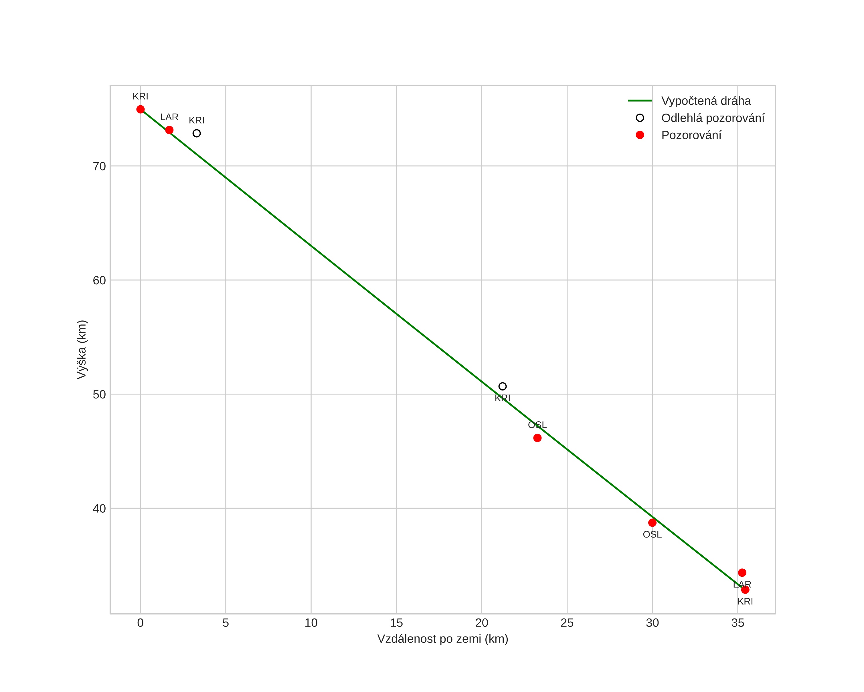
height profile
Atmosférická dráha meteoru:
Počáteční výška: 75,0 km
Konečná výška: 32,8 km
Počáteční poloha: 54,633N 8,280E
Konečná poloha: 54,846N 7,869E
Směr: 312,1°
Sklon: 50,0°
VstupnĂ­ rychlost: 17,9 km/s
Rektascenze radiantu: 12:26 (186,5°)
Deklinace radiantu: 17,7°
MeteorickĂ˝ roj: sporadickĂ˝
Elementy dráhy meteoroidu:
Vzdálenost v periheliu: 0,900 AU
Excentricita: 0,675
Sklon dráhy: 7,1°
Délka vzestupného uzlu: 28,2°
Argument perihelia: 222,0°
Střední anomálie: 353,5°
Epocha: 2023 APR 18 19:57:37
orbit plot

NeinteraktivnĂ­ graf | InteraktivnĂ­ graf

position vs time
speed and acceleration

Kristiansand (KRI) cam3


gnomonic
Videa
• Gnomonická
• Gnomonická se souřadnicemi
• Původní
• Původní se souřadnicemi
Obrázky
• Gnomonická
• Gnomonická se souřadnicemi
• Gnomonická s popisky
• Původní
• Původní se souřadnicemi
Textové soubory
• Detekce
• Pozorování
• Souřadnice
• Protokol
Jasnost