🇳🇴 🇬🇧 🇩🇪 🇨🇿 🇫🇮

Meteor, poloha: Løkken 2023-04-18 20:07:32 UTC

Soubor KML  |  InteraktivnĂ­ mapa

Mapa zobrazuje dráhy meteoru. Světlejší čáry ukazují směry od pozorovacích stanic při objevení se meteoru a tmavší čáry, kde byl naposledy viděn. Modrá šipka značí viditelnou dráhu meteoru.

static map
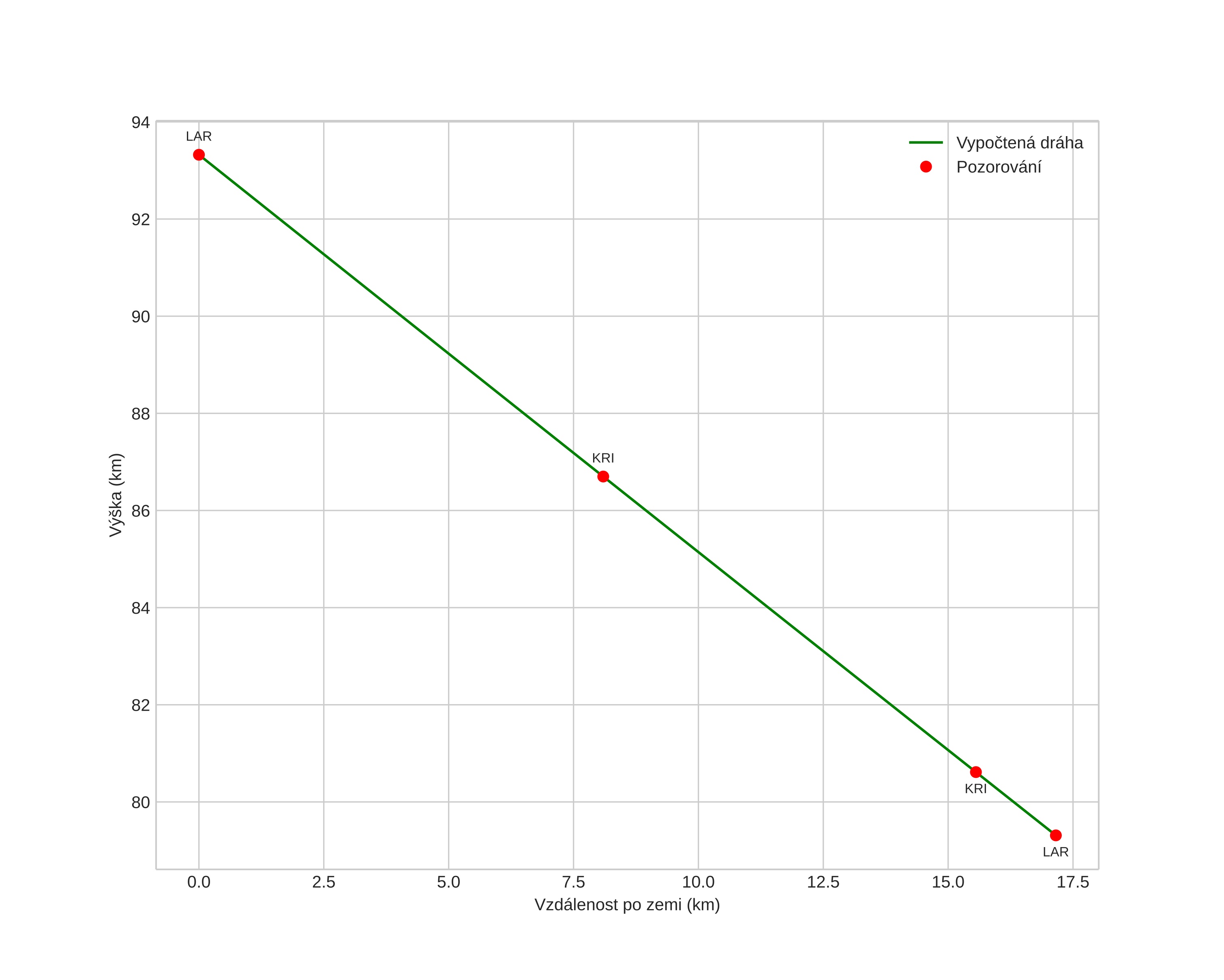
height profile
Atmosférická dráha meteoru:
Počáteční výška: 93,3 km
Konečná výška: 79,3 km
Počáteční poloha: 57,856N 9,672E
Konečná poloha: 57,740N 9,482E
Směr: 221,3°
Sklon: 39,3°
VstupnĂ­ rychlost: 34,6 km/s
Rektascenze radiantu: 17:47 (266,9°)
Deklinace radiantu: 56,9°
MeteorickĂ˝ roj: sporadickĂ˝
Elementy dráhy meteoroidu:
Vzdálenost v periheliu: 0,999 AU
Excentricita: 0,908
Sklon dráhy: 51,8°
Délka vzestupného uzlu: 28,2°
Argument perihelia: 188,6°
Střední anomálie: 359,8°
Epocha: 2023 APR 18 20:07:32
orbit plot

NeinteraktivnĂ­ graf | InteraktivnĂ­ graf

position vs time
speed and acceleration