🇳🇴 🇬🇧 🇩🇪 🇨🇿 🇫🇮

Meteor Risørin yllä 2023-04-18 23:13:36 UTC

KML-tiedosto  |  Interaktiivinen kartta

Kartta näyttää meteorin suuntahavainnot. Vaaleammat viivat näyttävät suunnat havaintoasemilta meteorin ilmestyessä, ja tummemmat viivat näyttävät, missä se viimeksi nähtiin. Sininen nuoli näyttää meteorin näkyvän lennon.

static map
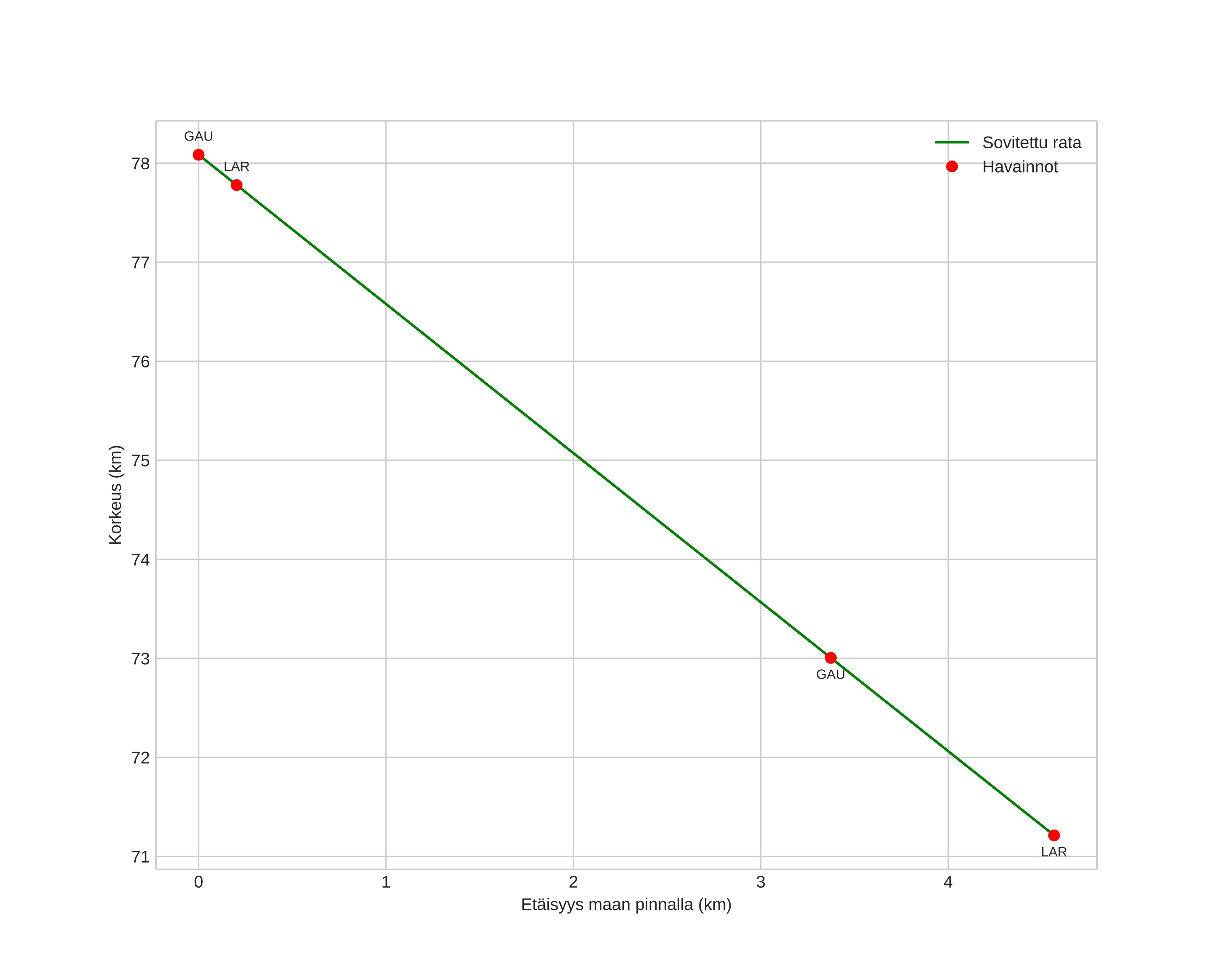
height profile
Meteorin ilmakehärata:
Alkukorkeus: 79,5 km
Loppukorkeus: 71,3 km
Alkupiste: 58,376N 9,197E
Loppupiste: 58,371N 9,287E
Suunta: 95,5°
Kallistuskulma: 57,2°
Tulonopeus: 12,8 km/s
Radiantin R,A,: 09:13 (138,3°)
Radiantin Dekl,: 39,6°
Meteoriparvi: Sporadinen
Meteoroidin rataelementit:
Perihelietäisyys: 1,004 AU
Eksentrisyys: 0,448
Inklinaatio: 4,0°
Nousevan solmun pituus: 28,4°
Perihelin argumentti: 183,0°
Keskianomalia: 359,0°
Epookki: 2023 APR 18 23:13:36
orbit plot

Ei-interaktiivinen kuvaaja | Interaktiivinen kuvaaja

position vs time
speed and acceleration