🇳🇴 🇬🇧 🇩🇪 🇨🇿 🇫🇮

Meteor über Mölndal 2023-04-19 20:04:00 UTC

KML-Datei  |  Interaktive Karte

Die Karte zeigt die Peilungen für den Meteor. Die helleren Linien zeigen die Richtungen von den Beobachtungsorten beim Erscheinen des Meteors, und die dunkleren Linien, wo er zuletzt gesehen wurde. Der blaue Pfeil zeigt die sichtbare Bahn des Meteors.

static map
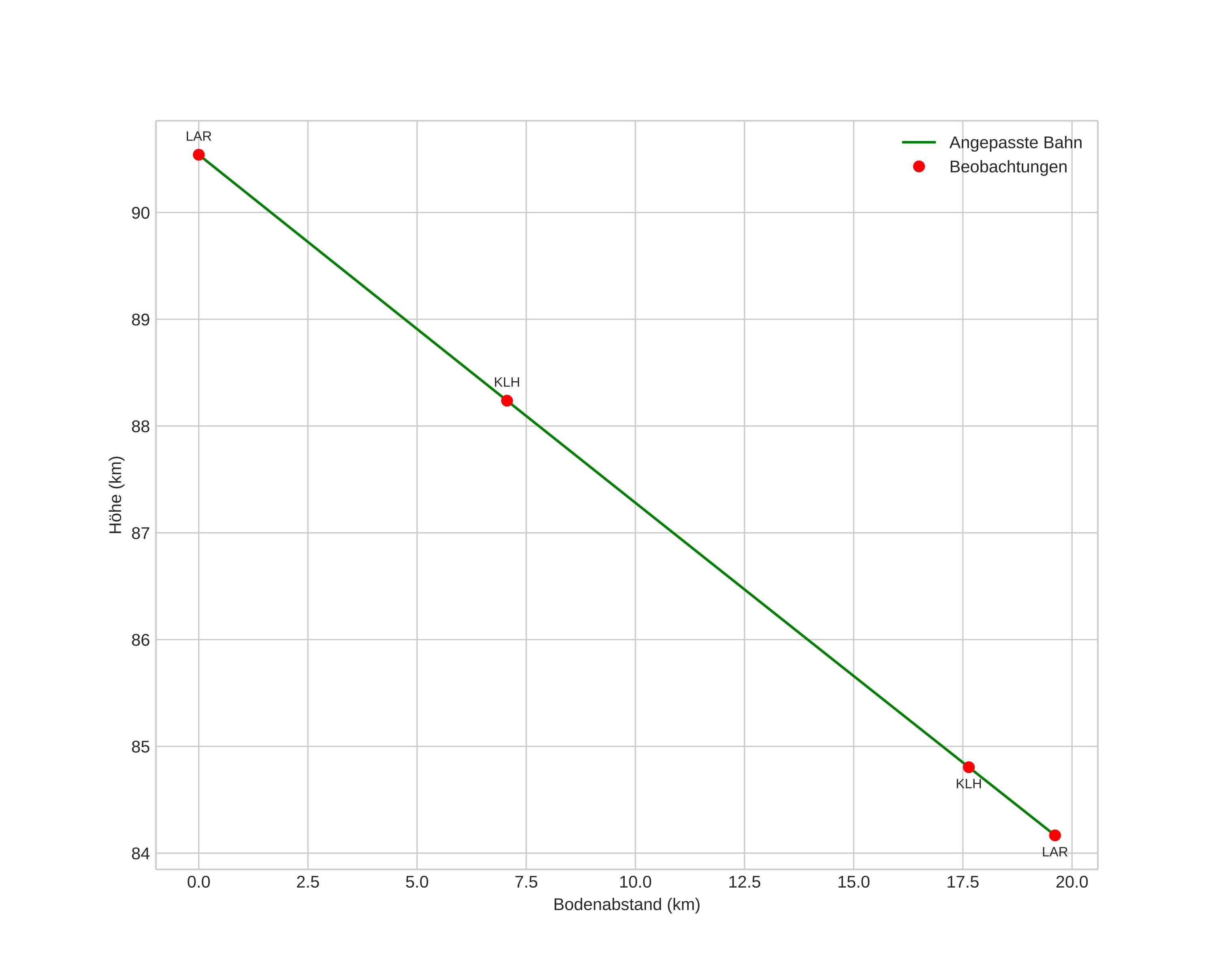
height profile
Atmosphärische Bahn des Meteors:
Anfangshöhe: 90,5 km
Endhöhe: 84,2 km
Startposition: 57,615N 12,321E
Endposition: 57,668N 12,007E
Richtung: 287,6°
Neigungswinkel: 17,8°
Eintrittsgeschwindigkeit: 34,6 km/s
Rektaszension des Radianten: 15:09 (227,5°)
Deklination des Radianten: 4,1°
Meteorstrom: sporadisch
Bahnelemente des Meteoroiden:
Periheldistanz: 0,378 AU
Exzentrizität: 0,867
Inklination: 27,9°
Länge des aufsteigenden Knotens: 29,2°
Argument des Perihels: 290,0°
Mittlere Anomalie: 351,3°
Epoche: 2023 APR 19 20:04:00
orbit plot

Nicht-interaktives Diagramm | Interaktives Diagramm

position vs time
speed and acceleration

Larvik (LAR) cam3


gnomonic
Videos
• Gnomonisch
• Gnomonisch mit Koordinaten
• Original
• Original mit Koordinaten
Bilder
• Gnomonisch
• Gnomonisch mit Koordinaten
• Gnomonisch mit Beschriftungen
• Original
• Original mit Koordinaten
• Original mit Maske
Textdateien
• Erkennung
• Beobachtung
• Koordinaten
• Fehlermeldungen
• Protokoll
Helligkeit