🇳🇴 🇬🇧 🇩🇪 🇨🇿 🇫🇮

Meteor, poloha: Bor 2023-05-11 22:31:06 UTC

Soubor KML  |  InteraktivnĂ­ mapa

Mapa zobrazuje dráhy meteoru. Světlejší čáry ukazují směry od pozorovacích stanic při objevení se meteoru a tmavší čáry, kde byl naposledy viděn. Modrá šipka značí viditelnou dráhu meteoru.

static map
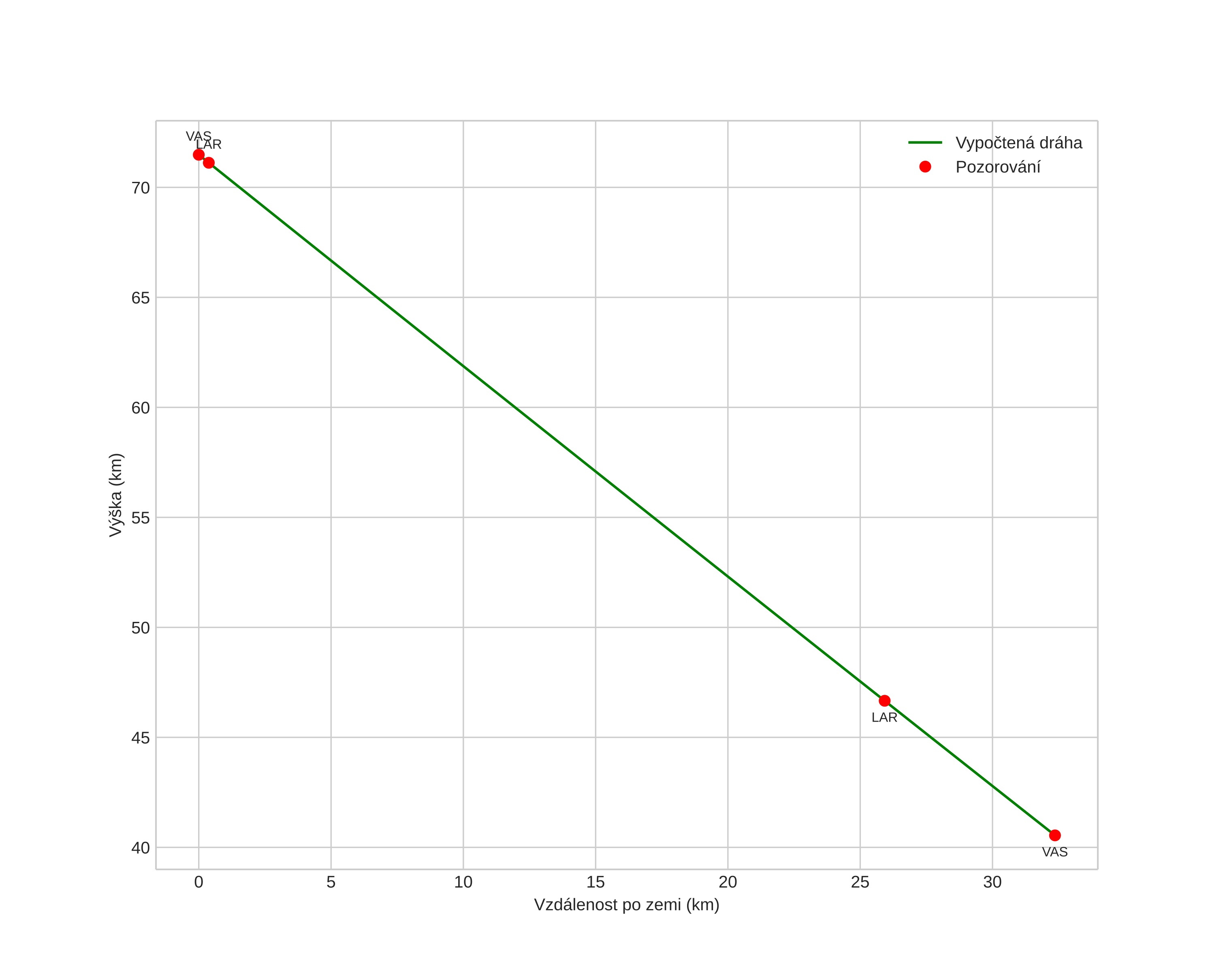
height profile
Atmosférická dráha meteoru:
Počáteční výška: 71,5 km
Konečná výška: 40,5 km
Počáteční poloha: 56,963N 14,452E
Konečná poloha: 57,230N 14,238E
Směr: 336,5°
Sklon: 43,8°
VstupnĂ­ rychlost: 14,2 km/s
Rektascenze radiantu: 15:59 (239,8°)
Deklinace radiantu: 1,4°
MeteorickĂ˝ roj: sporadickĂ˝
Elementy dráhy meteoroidu:
Vzdálenost v periheliu: 0,756 AU
Excentricita: 0,256
Sklon dráhy: 6,3°
Délka vzestupného uzlu: 50,7°
Argument perihelia: 283,6°
Střední anomálie: 285,8°
Epocha: 2023 MAY 11 22:31:06
orbit plot

NeinteraktivnĂ­ graf | InteraktivnĂ­ graf

position vs time
speed and acceleration