🇳🇴 🇬🇧 🇩🇪 🇨🇿 🇫🇮

Meteor, poloha: Hovden 2023-06-04 20:42:20 UTC

Soubor KML  |  InteraktivnĂ­ mapa

Mapa zobrazuje dráhy meteoru. Světlejší čáry ukazují směry od pozorovacích stanic při objevení se meteoru a tmavší čáry, kde byl naposledy viděn. Modrá šipka značí viditelnou dráhu meteoru.

static map
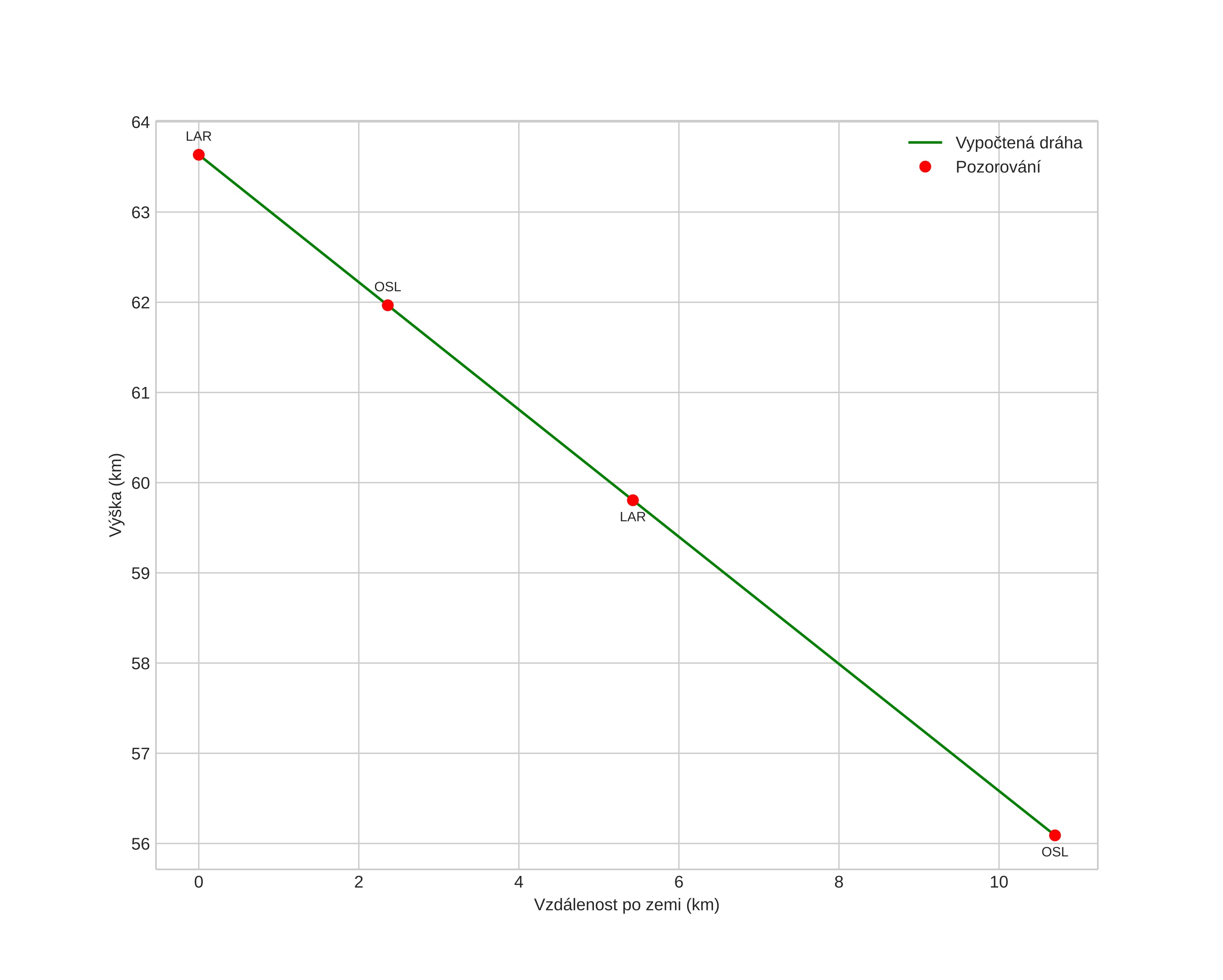
height profile
Atmosférická dráha meteoru:
Počáteční výška: 63,6 km
Konečná výška: 56,1 km
Počáteční poloha: 59,890N 7,596E
Konečná poloha: 59,945N 7,438E
Směr: 304,9°
Sklon: 35,0°
VstupnĂ­ rychlost: 18,1 km/s
Rektascenze radiantu: 17:09 (257,4°)
Deklinace radiantu: 8,8°
MeteorickĂ˝ roj: sporadickĂ˝
Elementy dráhy meteoroidu:
Vzdálenost v periheliu: 0,741 AU
Excentricita: 0,402
Sklon dráhy: 14,3°
Délka vzestupného uzlu: 73,7°
Argument perihelia: 266,6°
Střední anomálie: 317,4°
Epocha: 2023 JUN 04 20:42:20
orbit plot

NeinteraktivnĂ­ graf | InteraktivnĂ­ graf

position vs time
speed and acceleration