🇳🇴 🇬🇧 🇩🇪 🇨🇿 🇫🇮

Meteor, poloha: Skudeneshavn 2023-06-28 00:58:22 UTC

Soubor KML  |  InteraktivnĂ­ mapa

Mapa zobrazuje dráhy meteoru. Světlejší čáry ukazují směry od pozorovacích stanic při objevení se meteoru a tmavší čáry, kde byl naposledy viděn. Modrá šipka značí viditelnou dráhu meteoru.

static map
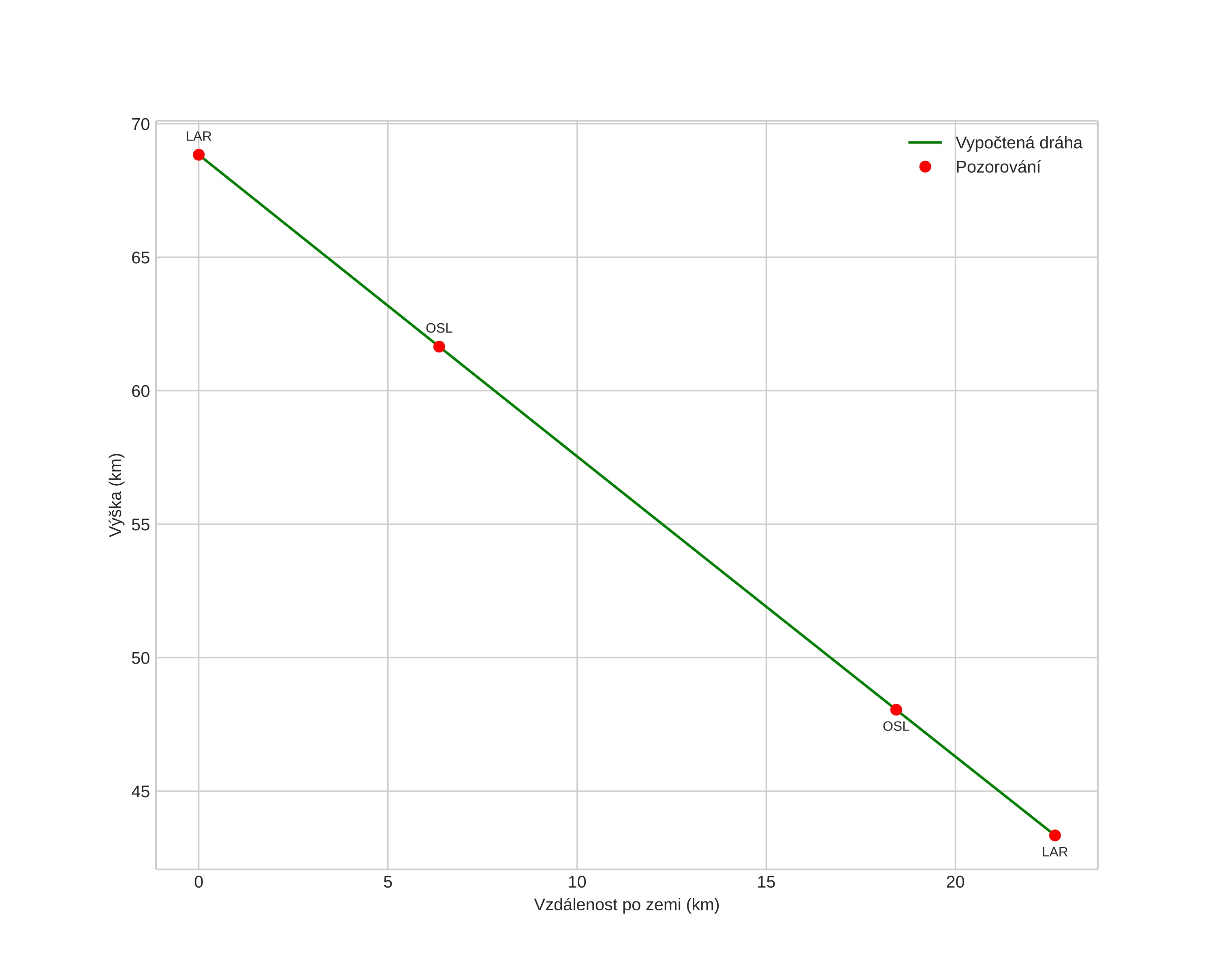
height profile
Atmosférická dráha meteoru:
Počáteční výška: 68,8 km
Konečná výška: 43,3 km
Počáteční poloha: 58,463N 4,551E
Konečná poloha: 58,531N 4,918E
Směr: 70,3°
Sklon: 48,4°
VstupnĂ­ rychlost: 15,9 km/s
Rektascenze radiantu: 16:09 (242,5°)
Deklinace radiantu: 25,1°
MeteorickĂ˝ roj: sporadickĂ˝
Elementy dráhy meteoroidu:
Vzdálenost v periheliu: 0,976 AU
Excentricita: 0,522
Sklon dráhy: 13,2°
Délka vzestupného uzlu: 95,8°
Argument perihelia: 208,0°
Střední anomálie: 352,3°
Epocha: 2023 JUN 28 00:58:22
orbit plot

NeinteraktivnĂ­ graf | InteraktivnĂ­ graf

position vs time
speed and acceleration