🇳🇴 🇬🇧 🇩🇪 🇨🇿 🇫🇮

Meteor, poloha: Hobro 2023-07-08 00:22:05 UTC

Soubor KML  |  Interaktivní mapa

Mapa zobrazuje dráhy meteoru. Světlejší čáry ukazují směry od pozorovacích stanic při objevení se meteoru a tmavší čáry, kde byl naposledy viděn. Modrá šipka značí viditelnou dráhu meteoru.

static map
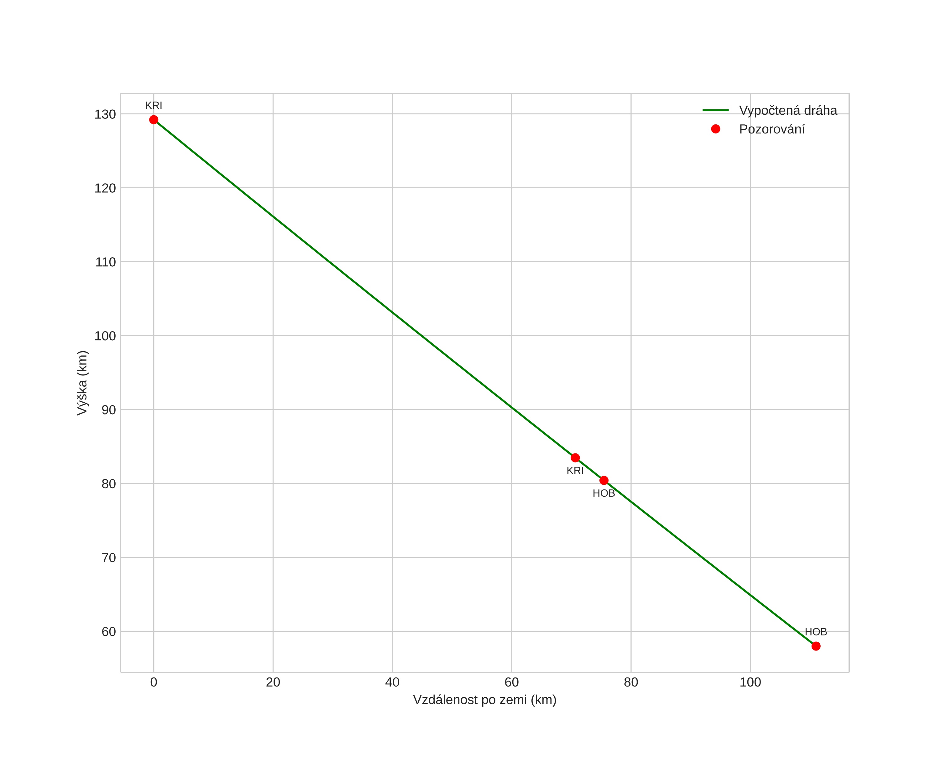
height profile
Atmosférická dráha meteoru:
Počáteční výška: 129,2 km
Konečná výška: 58,0 km
Počáteční poloha: 56,265N 11,368E
Konečná poloha: 56,660N 9,708E
Směr: 294,0°
Sklon: 32,7°
Vstupní rychlost: 144,0 km/s
Rektascenze radiantu: 23:39 (354,9°)
Deklinace radiantu: 14,8°
Meteorický roj: sporadický
Elementy dráhy meteoroidu:
Vzdálenost v periheliu: 0,971 AU
Excentricita: 13,943
Sklon dráhy: 159,9°
Délka vzestupného uzlu: 105,3°
Argument perihelia: 197,8°
Střední anomálie: -221,4°
Epocha: 2023 JUL 08 00:22:05
orbit plot

Neinteraktivní graf | Interaktivní graf

position vs time
speed and acceleration