🇳🇴 🇬🇧 🇩🇪 🇨🇿 🇫🇮

Meteor, poloha: Skålevik 2023-07-08 23:48:33 UTC

Soubor KML  |  Interaktivní mapa

Mapa zobrazuje dráhy meteoru. Světlejší čáry ukazují směry od pozorovacích stanic při objevení se meteoru a tmavší čáry, kde byl naposledy viděn. Modrá šipka značí viditelnou dráhu meteoru.

static map
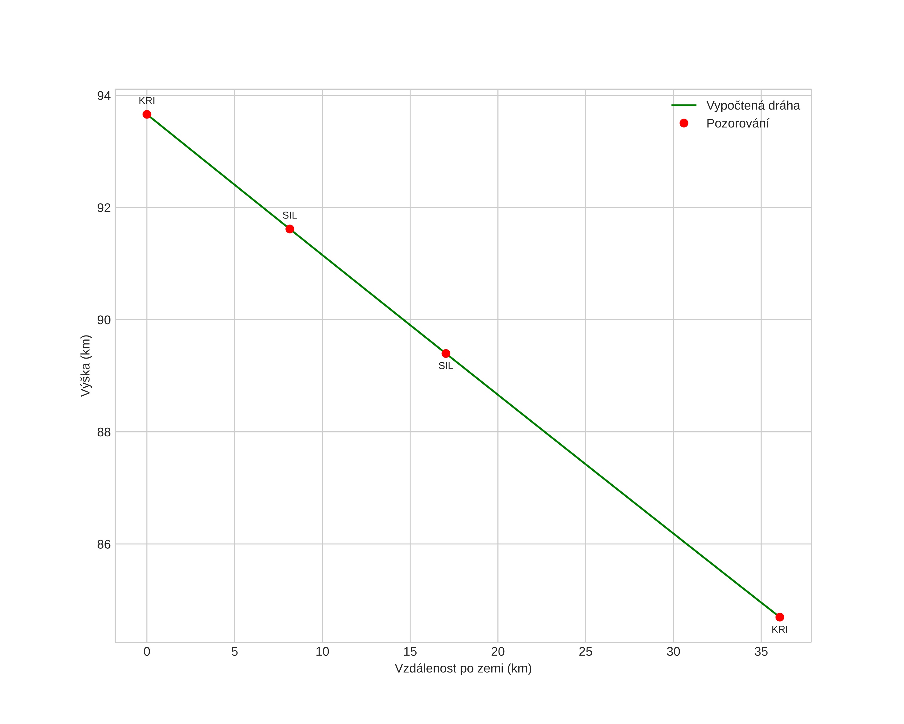
height profile
Atmosférická dráha meteoru:
Počáteční výška: 93,7 km
Konečná výška: 84,7 km
Počáteční poloha: 57,504N 8,001E
Konečná poloha: 57,827N 8,056E
Směr: 5,2°
Sklon: 14,0°
Vstupní rychlost: 24,7 km/s
Rektascenze radiantu: 19:00 (285,2°)
Deklinace radiantu: -23,4°
Meteorický roj: alpha-capricornidene
Elementy dráhy meteoroidu:
Vzdálenost v periheliu: 0,601 AU
Excentricita: 0,767
Sklon dráhy: 0,5°
Délka vzestupného uzlu: 285,9°
Argument perihelia: 87,0°
Střední anomálie: 349,2°
Epocha: 2023 JUL 08 23:48:33
orbit plot

Neinteraktivní graf | Interaktivní graf

position vs time
speed and acceleration