🇳🇴 🇬🇧 🇩🇪 🇨🇿 🇫🇮

Meteor, poloha: Valle 2023-07-13 22:49:45 UTC

Soubor KML  |  InteraktivnĂ­ mapa

Mapa zobrazuje dráhy meteoru. Světlejší čáry ukazují směry od pozorovacích stanic při objevení se meteoru a tmavší čáry, kde byl naposledy viděn. Modrá šipka značí viditelnou dráhu meteoru.

static map
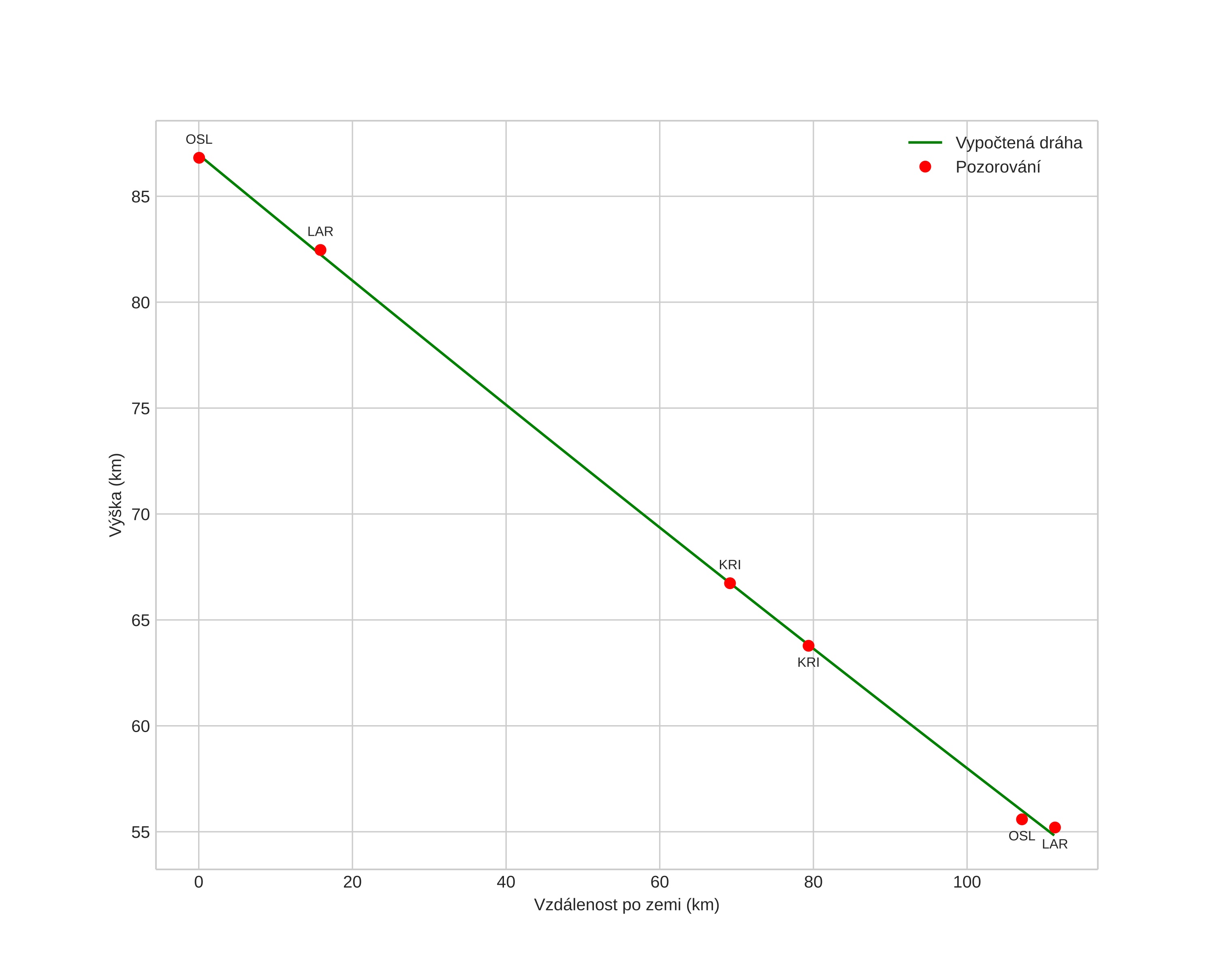
height profile
Atmosférická dráha meteoru:
Počáteční výška: 87,0 km
Konečná výška: 54,8 km
Počáteční poloha: 57,977N 7,433E
Konečná poloha: 58,975N 7,276E
Směr: 355,4°
Sklon: 16,1°
VstupnĂ­ rychlost: 21,2 km/s
Rektascenze radiantu: 19:00 (285,2°)
Deklinace radiantu: -22,7°
MeteorickĂ˝ roj: sporadickĂ˝
Elementy dráhy meteoroidu:
Vzdálenost v periheliu: 0,695 AU
Excentricita: 0,663
Sklon dráhy: 0,0°
Délka vzestupného uzlu: 279,6°
Argument perihelia: 89,5°
Střední anomálie: 344,3°
Epocha: 2023 JUL 13 22:49:45
orbit plot

NeinteraktivnĂ­ graf | InteraktivnĂ­ graf

position vs time
speed and acceleration