🇳🇴 🇬🇧 🇩🇪 🇨🇿 🇫🇮

Meteor, poloha: Straumen 2023-07-26 22:02:53 UTC

Soubor KML  |  InteraktivnĂ­ mapa

Mapa zobrazuje dráhy meteoru. Světlejší čáry ukazují směry od pozorovacích stanic při objevení se meteoru a tmavší čáry, kde byl naposledy viděn. Modrá šipka značí viditelnou dráhu meteoru.

static map
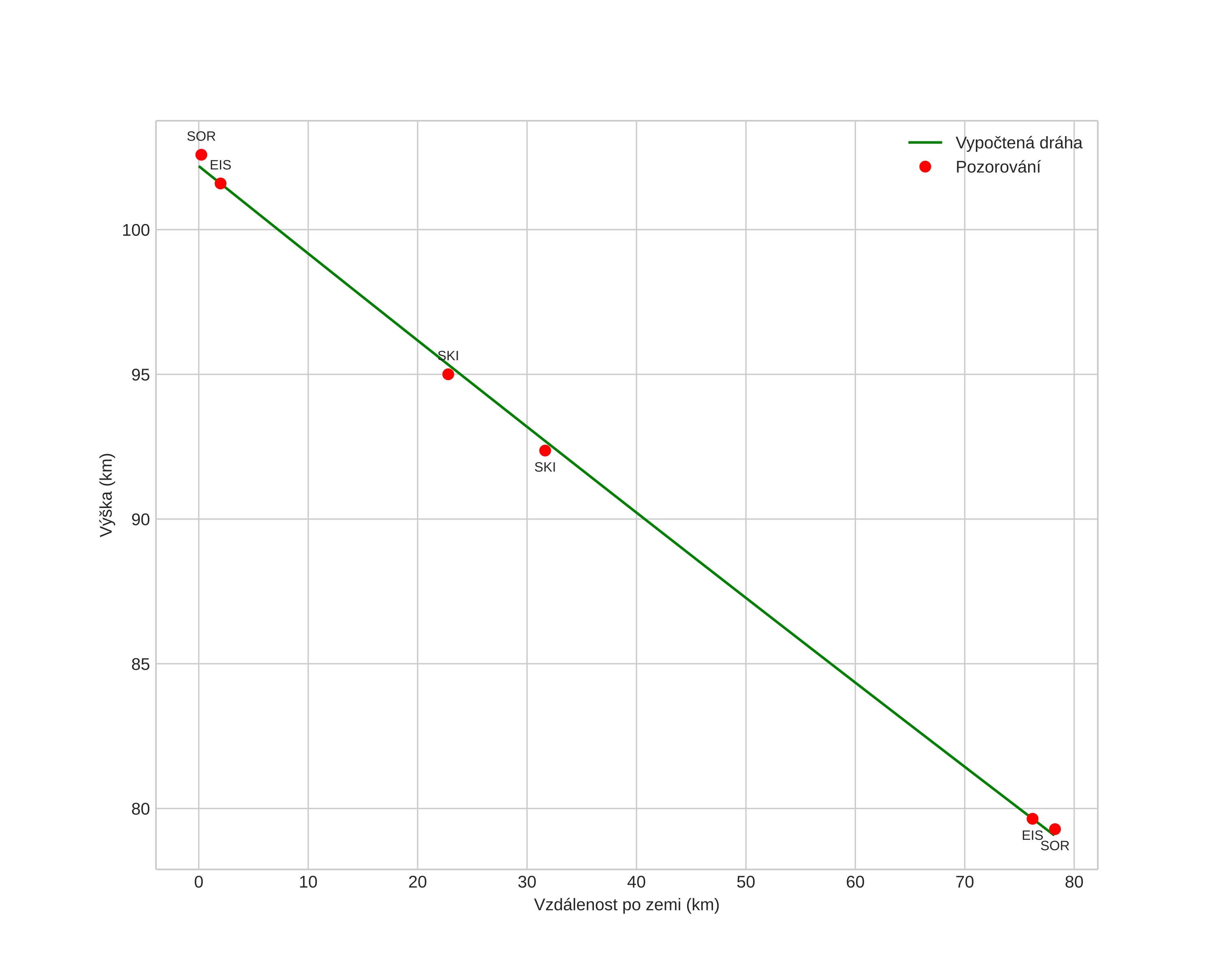
height profile
Atmosférická dráha meteoru:
Počáteční výška: 102,2 km
Konečná výška: 79,1 km
Počáteční poloha: 67,511N 17,945E
Konečná poloha: 67,674N 16,151E
Směr: 284,3°
Sklon: 16,5°
VstupnĂ­ rychlost: 73,0 km/s
Rektascenze radiantu: 00:13 (3,4°)
Deklinace radiantu: 9,3°
MeteorickĂ˝ roj: sporadickĂ˝
Elementy dráhy meteoroidu:
Vzdálenost v periheliu: 0,620 AU
Excentricita: 1,391
Sklon dráhy: 165,4°
Délka vzestupného uzlu: 123,3°
Argument perihelia: 250,7°
Střední anomálie: -16,0°
Epocha: 2023 JUL 26 22:02:53
orbit plot

NeinteraktivnĂ­ graf | InteraktivnĂ­ graf

position vs time
speed and acceleration