🇳🇴 🇬🇧 🇩🇪 🇨🇿 🇫🇮

Meteor Nørre Bindslevin yllä 2023-07-27 21:43:09 UTC

KML-tiedosto  |  Interaktiivinen kartta

Kartta näyttää meteorin suuntahavainnot. Vaaleammat viivat näyttävät suunnat havaintoasemilta meteorin ilmestyessä, ja tummemmat viivat näyttävät, missä se viimeksi nähtiin. Sininen nuoli näyttää meteorin näkyvän lennon.

static map
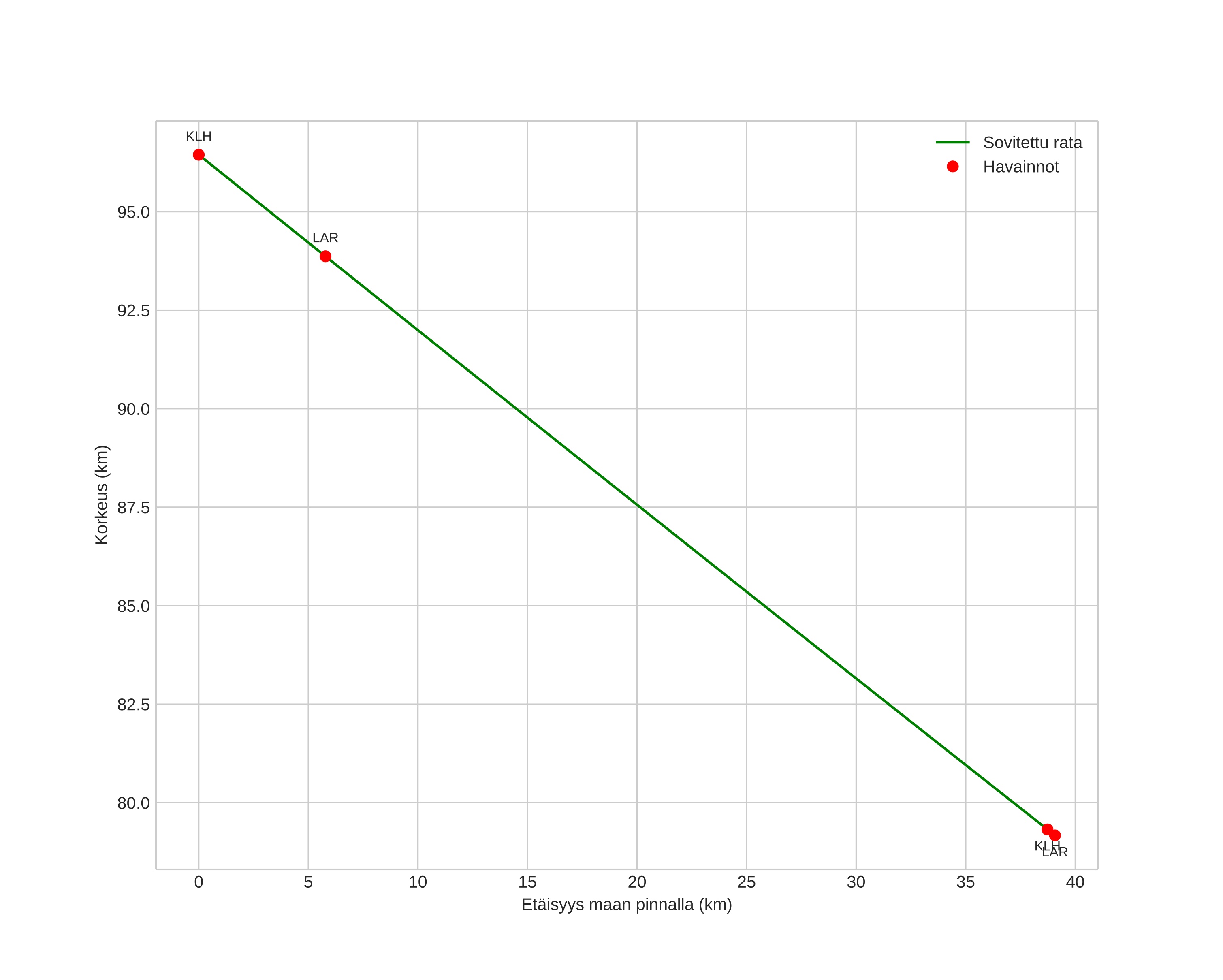
height profile
Meteorin ilmakehärata:
Alkukorkeus: 96,4 km
Loppukorkeus: 79,2 km
Alkupiste: 57,333N 10,374E
Loppupiste: 57,651N 10,096E
Suunta: 335,0°
Kallistuskulma: 23,8°
Tulonopeus: 29,9 km/s
Radiantin R,A,: 20:16 (304,1°)
Radiantin Dekl,: -9,1°
Meteoriparvi: Sporadinen
Meteoroidin rataelementit:
Perihelietäisyys: 0,532 AU
Eksentrisyys: 0,931
Inklinaatio: 9,7°
Nousevan solmun pituus: 124,3°
Perihelin argumentti: 269,2°
Keskianomalia: 358,1°
Epookki: 2023 JUL 27 21:43:09
orbit plot

Ei-interaktiivinen kuvaaja | Interaktiivinen kuvaaja

position vs time
speed and acceleration

Larvik (LAR) cam3


gnomonic
Videot:
• Gnomoninen
• Gnomoninen koordinaateilla
• Alkuperäinen
• Alkuperäinen koordinaateilla
Kuvat:
• Gnomoninen
• Gnomoninen koordinaateilla
• Gnomoninen merkinnöillä
• Alkuperäinen
• Alkuperäinen koordinaateilla
• Alkuperäinen maskilla
Tekstitiedostot:
• Havaintoraportti
• Observaatio
• Koordinaatit
• Virheilmoitukset
• Loki
Kirkkaus