🇳🇴 🇬🇧 🇩🇪 🇨🇿 🇫🇮

Meteor, poloha: Ulefoss 2023-08-03 00:11:41 UTC

Soubor KML  |  InteraktivnĂ­ mapa

Mapa zobrazuje dráhy meteoru. Světlejší čáry ukazují směry od pozorovacích stanic při objevení se meteoru a tmavší čáry, kde byl naposledy viděn. Modrá šipka značí viditelnou dráhu meteoru.

static map
height profile
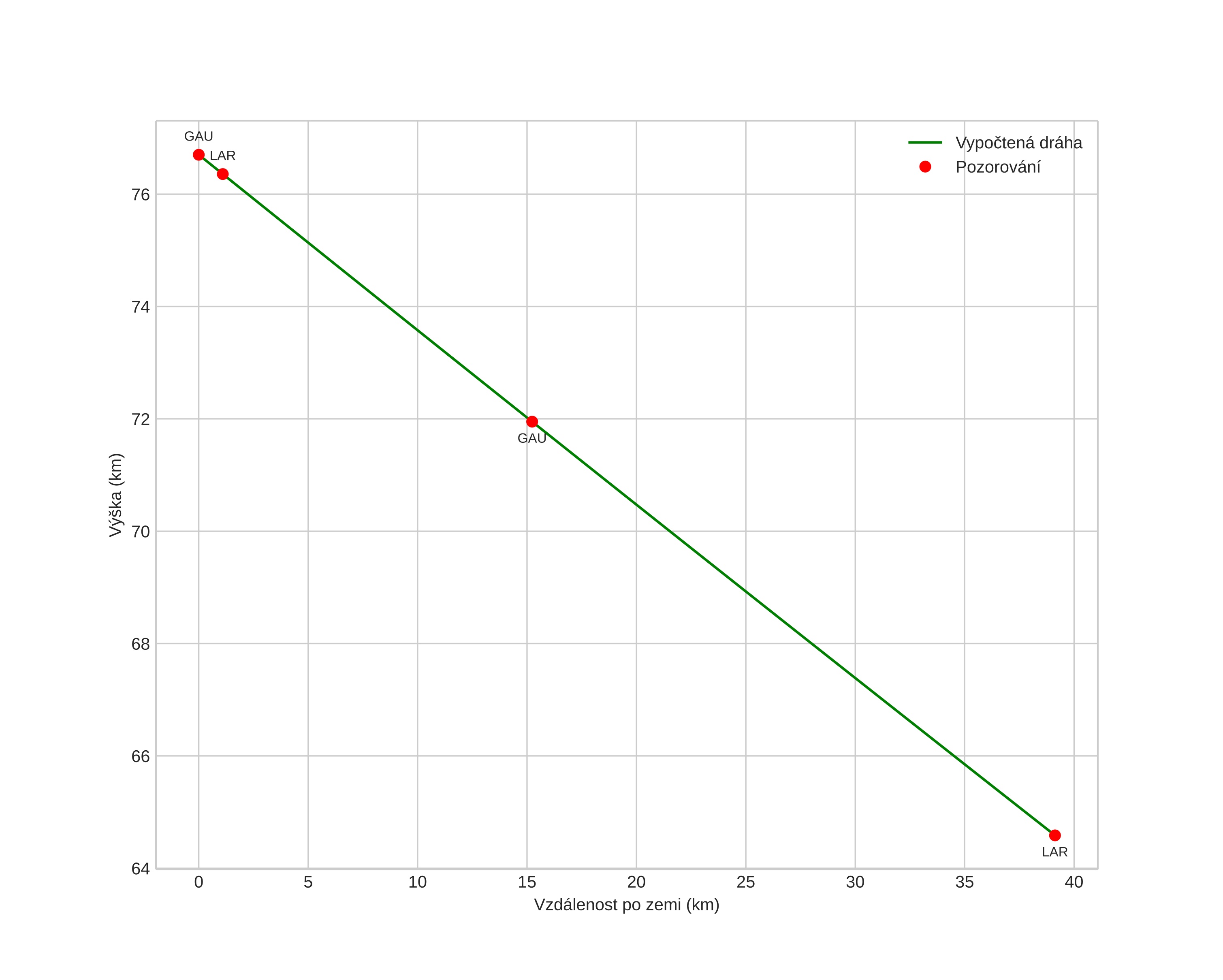
Atmosférická dráha meteoru:
Počáteční výška: 76,8 km
Konečná výška: 64,7 km
Počáteční poloha: 59,132N 8,974E
Konečná poloha: 59,408N 9,401E
Směr: 38,2°
Sklon: 17,2°
VstupnĂ­ rychlost: 14,9 km/s
Rektascenze radiantu: 18:38 (279,7°)
Deklinace radiantu: -23,0°
MeteorickĂ˝ roj: sporadickĂ˝
Elementy dráhy meteoroidu:
Vzdálenost v periheliu: 0,920 AU
Excentricita: 0,506
Sklon dráhy: 0,0°
Délka vzestupného uzlu: 134,6°
Argument perihelia: 219,2°
Střední anomálie: 346,8°
Epocha: 2023 AUG 03 00:11:41
orbit plot

NeinteraktivnĂ­ graf | InteraktivnĂ­ graf

position vs time
speed and acceleration