🇳🇴 🇬🇧 🇩🇪 🇨🇿 🇫🇮

Meteor, poloha: Töcksfors 2023-08-03 00:21:27 UTC

Soubor KML  |  InteraktivnĂ­ mapa

Mapa zobrazuje dráhy meteoru. Světlejší čáry ukazují směry od pozorovacích stanic při objevení se meteoru a tmavší čáry, kde byl naposledy viděn. Modrá šipka značí viditelnou dráhu meteoru.

static map
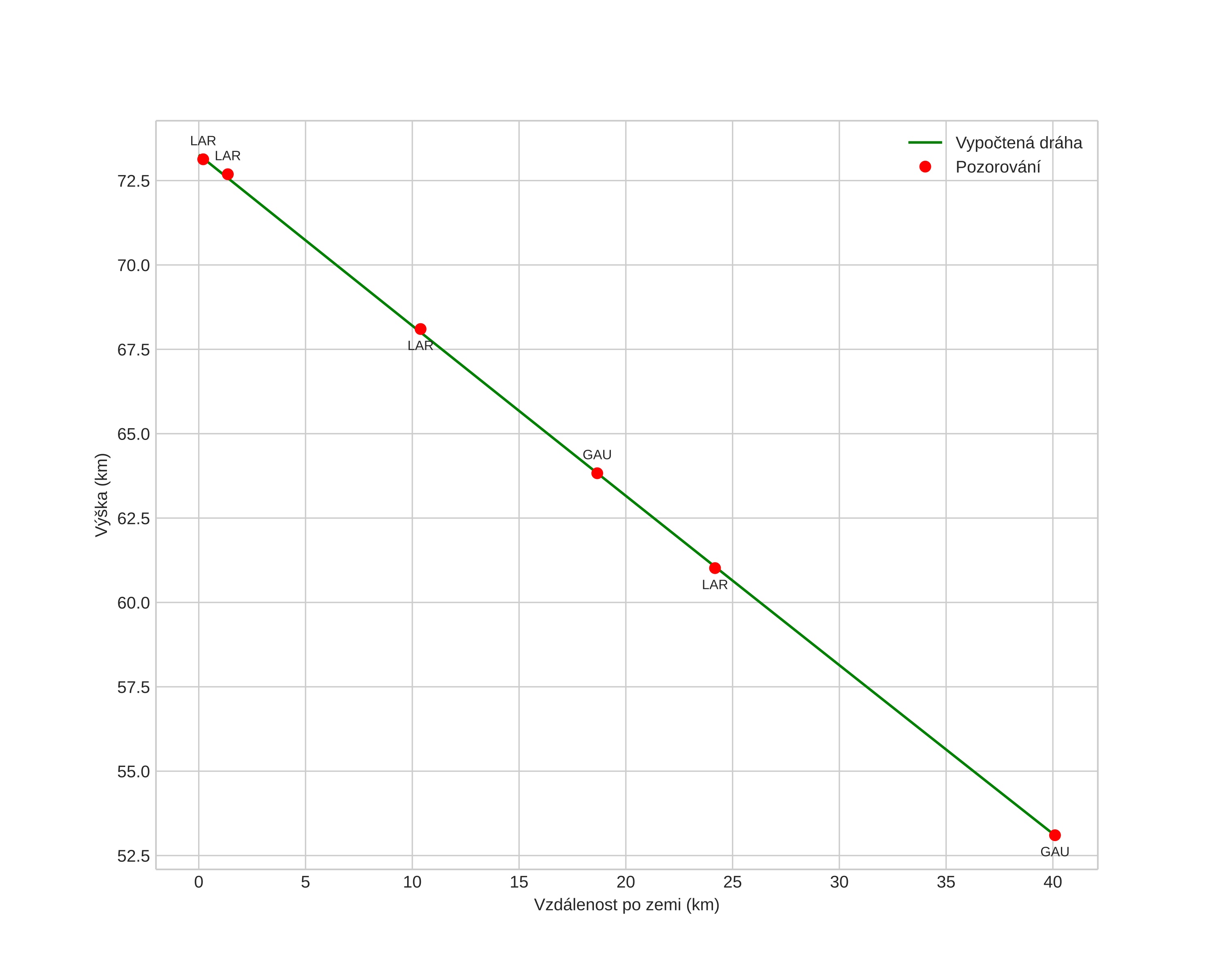
height profile
Atmosférická dráha meteoru:
Počáteční výška: 72,9 km
Konečná výška: 52,7 km
Počáteční poloha: 59,365N 11,531E
Konečná poloha: 59,713N 11,780E
Směr: 19,8°
Sklon: 26,1°
VstupnĂ­ rychlost: 20,0 km/s
Rektascenze radiantu: 20:32 (308,2°)
Deklinace radiantu: -9,4°
MeteorickĂ˝ roj: alpha-capricornidene
Elementy dráhy meteoroidu:
Vzdálenost v periheliu: 0,663 AU
Excentricita: 0,576
Sklon dráhy: 5,1°
Délka vzestupného uzlu: 130,2°
Argument perihelia: 267,0°
Střední anomálie: 333,8°
Epocha: 2023 AUG 03 00:21:27
orbit plot

NeinteraktivnĂ­ graf | InteraktivnĂ­ graf

position vs time
speed and acceleration