🇳🇴 🇬🇧 🇩🇪 🇨🇿 🇫🇮

Meteor, poloha: Mandal 2023-08-03 22:31:38 UTC

Soubor KML  |  InteraktivnĂ­ mapa

Mapa zobrazuje dráhy meteoru. Světlejší čáry ukazují směry od pozorovacích stanic při objevení se meteoru a tmavší čáry, kde byl naposledy viděn. Modrá šipka značí viditelnou dráhu meteoru.

static map
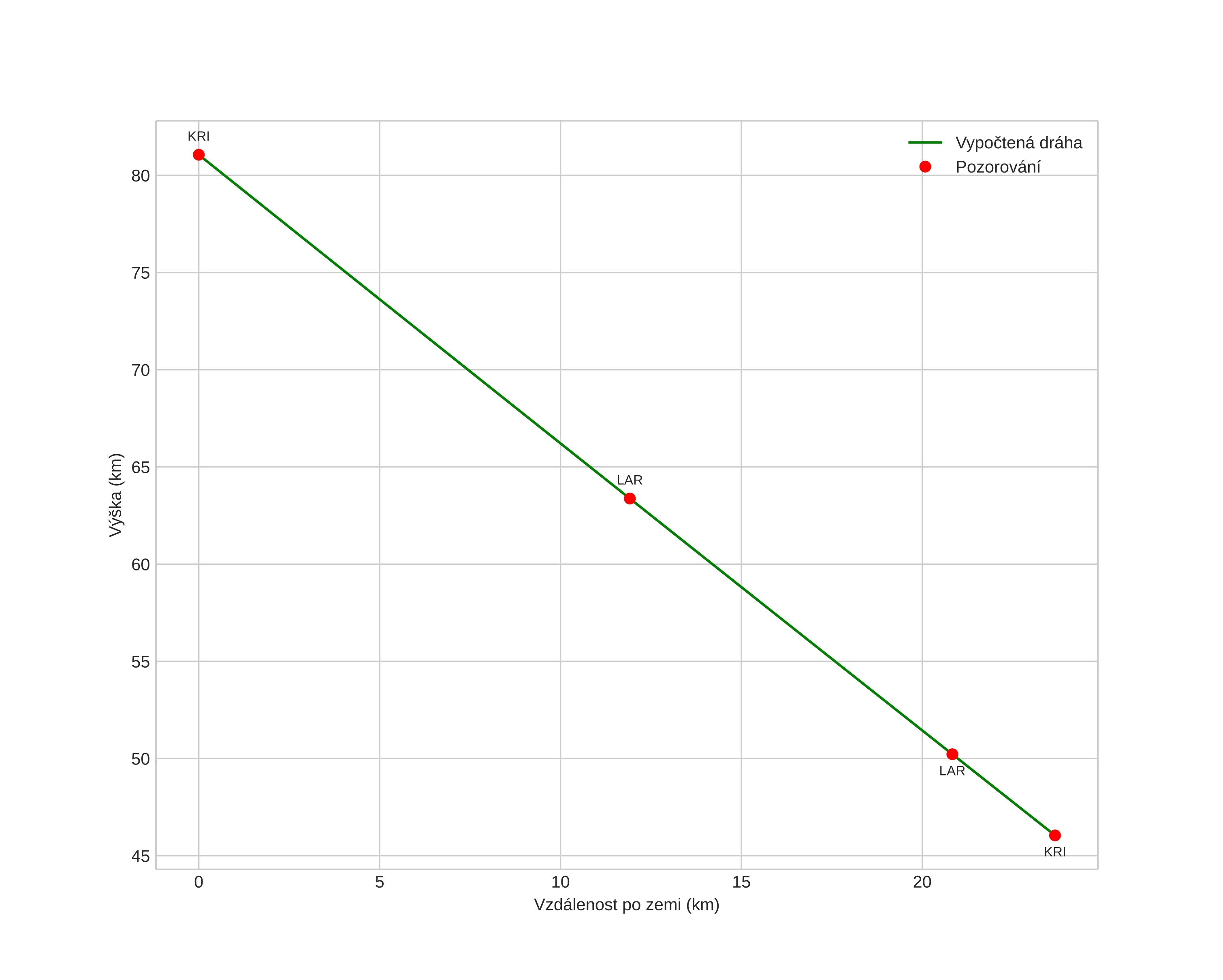
height profile
Atmosférická dráha meteoru:
Počáteční výška: 81,9 km
Konečná výška: 45,5 km
Počáteční poloha: 57,460N 6,817E
Konečná poloha: 57,347N 7,154E
Směr: 121,7°
Sklon: 56,9°
VstupnĂ­ rychlost: 19,9 km/s
Rektascenze radiantu: 15:01 (225,3°)
Deklinace radiantu: 57,3°
MeteorickĂ˝ roj: sporadickĂ˝
Elementy dráhy meteoroidu:
Vzdálenost v periheliu: 1,002 AU
Excentricita: 0,636
Sklon dráhy: 24,1°
Délka vzestupného uzlu: 131,0°
Argument perihelia: 165,5°
Střední anomálie: 2,5°
Epocha: 2023 AUG 03 22:31:38
orbit plot

NeinteraktivnĂ­ graf | InteraktivnĂ­ graf

position vs time
speed and acceleration